时间:2019-06-29 05:57:07
1、选择题 如图所示,半径为R的环形塑料管竖直放置,AB为该环的水平直径,且管的内径远小于环的半径,环的A、B及其以下部分处于水平向左的匀强电场中,管的内壁光滑。现将一质量为m,带电荷量为+q的小球从管中A点由静止释放,已知qE=mg,以下说法错误的是
[? ]
A.小球释放后,到达B点时速度为零,并在BDA同往复运动
B.小球释放后,到达最低点D时速度最大
C.小球释放后,第一次和第二次经过最高点C时对管壁的压力大小之比为1:1且方向相同
D.小球释放后,第一次经过最低点D和最高点C时对管壁的压力大小之比为5:1
参考答案:ABC
本题解析:
本题难度:一般
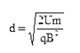
2、计算题 (12分)一荷质比为
的带电粒子经一电场U=150V加速进入到一只有左边界的匀强磁场中,已知匀强磁场的磁感应强度为B="0.1T" 求:
(1)粒子离开电场时的速度
(2)粒子离开磁场左边界的位置距离进入点的长度
(3)粒子在磁场中运动的时间
参考答案:(1)
?(2)2m?(3)
本题解析:(1)由动能定理
得
(2)粒子在磁场中做圆周运动由洛伦兹力提供向心力
解得
粒子离开磁场时距离进入点的长度
(3)粒子在磁场中运动的周期
粒子在磁场中运动的时间
本题难度:一般
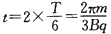
3、计算题 如图所示,在空间中存在垂直纸面向里的场强为B匀强磁场,其边界AB、CD的宽度为d,在左边界的Q点处有一质量为m,带电量为负q的粒子沿与左边界成30°的方向射入磁场,粒子重力不计。求:
(1)带电粒子能从AB边界飞出的最大速度?
(2)若带电粒子能垂直CD边界飞出磁场,穿过小孔进入如图所示的匀强电场中减速至零且不碰到负极板,则极板间电压及整个过程中粒子在磁场中运动的时间?
(3)若带电粒子的速度是(2)中的
倍,并可以从Q点沿纸面各个方向射入磁场,则粒子能打到CD边界的范围? 
参考答案:解:(1)粒子能从左边界射出,临界情况有
所以粒子能从左边界射出速度应满足
(2)粒子能从右边界射出:
?
解得
粒子不碰到右极板所加电压满足的条件
因粒子转过的圆心角为60°,所用时间为T/6
而
因返回通过磁场所用时间相同,所以总时间
?
(3)当粒子速度为(2)中的
倍时
解得R"=2d粒子,如图
由几何关系可得t=2×2dcos30°=2
d
? 
本题解析:
本题难度:困难
4、简答题 如图所示,在某空间同时存在着互相正交的匀强电场和匀强磁场,电场的方向竖直向下。一带电体a带负电荷,电量为q1,恰能静止于此空间的c点,另一带电体b也带负电荷,电量为q2,正在过a点的竖直平面内作半径为R的匀速圆周运动,结果a、b在c处碰撞并粘合在一起,试分析a、b粘合一起后的运动性质。
参考答案:带电体做半径为r的匀速圆周运动:
本题解析:设a、b的质量分别为
和
,b的速度为
。因为带电体
处于静止状态,故有:
…①
带电体b在竖直平面内作匀速圆周运动,则重力和电场力平衡,洛仑兹力做向心力
?…②,
?…③
a和b碰撞时,带电体沿速度方向的合力为零,故动量守恒,由动量守恒定律可得:
?…④
a、b碰撞后合在一起,总电量为
,总质量为
,仍满足
?…⑤
洛仑兹力提供向心力,带电体做半径为r的匀速圆周运动:
。联立上述方程可得
本题难度:一般
5、计算题 一带正电粒子的质量为m、电荷量为q,空间中一平行板电容器两极板S1、S2间的电势差为U。将此粒子在靠近极板S1的A处无初速度释放,经电场加速后,经O点进入磁感应强度为B、方向垂直纸面向外的有界匀强磁场,如图所示,整个装置处于真空中,不计粒子重力作用。
小题1:求粒子到达O点的速度大小;
小题2:若粒子经过O点后恰好不能从右侧离开该有界磁场,求该有界磁场的宽度d;
小题3:图中虚线OX垂直平板电极S2,若改变右侧磁场宽度,当粒子从P点离开磁场时,其速度方向与OX方向的夹角
,求此粒子在磁场中运动的时间t。
参考答案:
小题1:
小题2:
小题3:
本题解析:
本题难度:一般