时间:2019-06-29 05:47:54
1、计算题 (15分)如图,在竖直平面内有一固定光滑轨道,其中AB是长为s=10m的水平直轨道,BCD是圆心为O、半径为R=10m的3/4圆弧轨道,两轨道相切于B点。在外力作用下,一小球从A点由静止开始做匀加速直线运动,到达B点时撤除外力。已知小球刚好能沿圆轨道经过最高点C,重力加速度为g=10m/s2。求:
(1)小球在AB段运动的加速度的大小;
(2)小球从D点运动到A点所用的时间。(结果可用根式表示)
2、选择题 物体在粗糙的水平面上运动,其位移一时间图线如图所示,已知在沿运动方向上的作用力为F,物体在运动过程中受的滑动摩擦力为
,由图线可知?(?)
A.
B.
C.
D.不能确定F与
的关系
3、计算题 (8分)如图所示,传送带与地面夹角θ=37°,从A到B长度为16 m,传送带以v0="10" m/s的速率逆时针转动.在传送带上端A无初速地放一个质量为m="0.5" kg的物体,它与传送带间的动摩擦因数μ=0.5.求物体从A运动到B需要的时间.(sin37°="0.6," cos 37°=0.8,取g="10" m/s2)
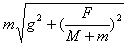
4、选择题 如图,一截面为椭圆形的容器内壁光滑其质量为M,置于光滑水平面上,内有一质量为m的小球,当容器受到一个水平向右的力F作用时,小球偏离平衡位置如图,则由此可知,此时小球对椭圆面的压力大小为
[? ]
A.
B.
C.
D.条件不足,以上答案均不对
5、计算题 (14分)如图所示,将直径为2R的半圆形导轨固定在竖直面内的A、B两点,直径AB与竖直方向的夹角为60°。在导轨上套一质量为m的小圆环,原长为2R、劲度系数
的弹性轻绳穿过圆环且固定在A、B两点。已知弹性轻绳满足胡克定律,且形变量为x时具有弹性势能
,重力加速度为g,不计一切摩擦。将圆环由A点正下方的C点静止释放,当圆环运动到导轨的最低点D点时,求
(1)圆环的速率v;
(2)导轨对圆环的作用力F的大小?