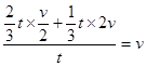
1、选择题 如图所示,在倾角为θ=30°的足够长的光滑斜面上,一质量为2kg的小球自与斜面底端P点相距0.5m处,以4m/s的初速度沿斜面向上运动。在返回P点之前,若小球与P点之间的距离为
,重力加速度g取10m/s2。则d与t的关系式为?(?)

A.
B.
C.
D.
参考答案:D
本题解析::小球向上运动,所受合外力沿斜面向下,做匀减速直线运动。初始位移为0.5m,所以选项D正确。
本题难度:一般
2、选择题 一个从静止开始做匀加速直线运动的物体,从开始运动起,连续通过三段位移的时间分别是1s、2s、3s,这三段位移的长度之比和这三段位移上的平均速度之比分别是
[? ]
A.l:22:32,1:2:3
B.1:2:3,1:1:1
C.1:23:33,1:22:32
D.l:3:5,1:2:3
参考答案:C
本题解析:
本题难度:一般
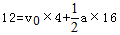
3、填空题 如图所示,在劲度系数为k的弹簧下端挂一质量为m的物体,物体下有一托盘,用托盘托着物体使弹簧恰好处于原长.然后使托盘以加速度a竖直向下做匀加速直线运动(a<g),托盘向下运动能与物体脱离时间?。
参考答案:t=
本题解析:略
本题难度:一般
4、简答题 如图,一物块从倾角为θ的斜面上A点由静止开始滑下,最后停在水平面上C点处.已知斜面与水平面的材料质地完全相同,已知物块在斜面和水平面上滑行的长度之比L1/L2=k,且斜面AB与水平面BC平滑相接.求:
(1)物块与接触面的动摩擦因数μ;
(2)在斜面和水平面上滑行的时间之比t1:t2.
参考答案:(1)根据动能定理得
? mgL1sinθ-μmgcosθ?L1-μmgL2=0
得到μ=L1sinθL2+L1cosθ
又L1L2=k
得到μ=ksinθ1+kcosθ
? (2)设物块滑到B点时速度大小为v
则L1=v2t1,L2=v2t2
所以t1:t2=L1:L2=k
答:(1)物块与接触面的动摩擦因数μ=ksinθ1+kcosθ;
? (2)在斜面和水平面上滑行的时间之比t1:t2=k.
本题解析:
本题难度:一般
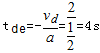
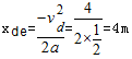
5、选择题 一辆汽车在水平方向以10m/s的速度作匀速直线运动;当汽车以2m/s2的加速度刹车时,其刹车后6s内位移为( )
A.25?m
B.30?m
C.96m
D.24?m
参考答案:设汽车从刹车到停止运动的时间t0,则有
t0=v0a=102s=5s
故6s内的位移实际等于5s内的位移,故
s=v202a=1022×2m=25m
故选A
本题解析:
本题难度:简单