高考物理知识大全《匀变速直线运动》高频试题强化练习(2019年最新版)(三)

时间:2019-06-29 05:37:19

微信搜索关注"91考试网"公众号,领30元,获取事业编教师公务员等考试资料40G

1、计算题  一辆汽车沿平直公路以v0=10m/s匀速运动,忽然以加速度为2m/s2刹车,求汽车刹车后6s内的位移是多大?


参考答案:25m


本题解析:


本题难度:一般



2、选择题  一小滑块m从静止开始沿光滑斜面由A滑到C,经历的时间为t1;如果改由光滑曲面ADC滑到C,则经历的时间为t2.已知斜面越陡物体下滑的加速度越大,两个过程到达C点速度大小相等.则t1与t2的大小关系正确的是(  )
A.t1>t2
B.t1=t2
C.t1<t2
D.已知条件不足,不能判定
91考试网


参考答案:A


本题解析:


本题难度:一般



3、简答题  为了减少战斗机起飞时在甲板上加速的时间和距离,现代航母大多采用了蒸汽弹射技术.一架总质量M=5.0x103kg的战机如果采用滑行加速(只依靠自身动力系统加速),要达到vo=60m/s的起飞速度,甲板水平跑道的长度至少为120m.采用蒸汽弹射技术,战机在自身动力和持续的蒸汽动力共同作用下只要水平加速60m就能达到起飞速度.假设战机起飞过程是匀加速直线运动,航母保持静止,空气阻力大小不变,取g=l0m/s2.
(1)采用蒸汽弹射技术,求战机加速过程中加速度大小以及质量m=60kg的飞行员受到座椅作用力的大小.
(2)采用蒸汽弹射技术,弹射系统的弹力为多大?弹力在加速60m的过程中对战机做的功是多少?


参考答案:(1)设战机在自身动力和蒸汽动力共同作用下滑行的加速度为a,
则由 V02=2as
解得 a=30m/s2 ,
飞行员受到座椅水平方向的作用力?Fx=ma=1.8×103 N,
飞行员受到座椅竖直方向的作用力 ?Fy=mg=6.0×102 N,
飞行员受到座椅作用力大小为 F=


本题解析:


本题难度:一般



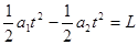
4、简答题  高速公路上甲乙两车在同一车道上同向行驶,甲车在前,乙车在后,速度均为v0=30m/s,距离s0=100m,t=0时刻甲车遇紧急情况后,甲乙两车的加速度随时间变化如图所示,取运动方向为正方向.通过计算说明两车在0~9s内会不会相撞?


参考答案:由图象知,甲在前3s内的加速度a甲1=-10m/s2,在3-9s内的加速度a甲2=5m/s2,乙在前3s的加速度a乙1=0,在3-9s内的加速度a乙2=-5m/s2
根据图象分析知:甲前3s内做a甲1=-10m/s2匀减速直线运动,3s后速度减为0后再以a甲2=5m/s2做匀加速直线运动,乙在做匀速直线运动,3s后以a乙2=-5m/s2做匀减速直线运动.
甲车在匀减速过程中的初速度为30m/s,加速度为a甲1=-10m/s2可知3s后甲的速度刚好为0,故位移
x甲1=v+v02t=0+302×3m=45m
乙在前3s内的位移x乙1=vt=30×3m=90m
此时甲乙相距△x=x甲1+s0-x乙1=45+100-90m=55m
从此刻开始,甲做初速度为0加速度为a甲2=5m/s2的匀加速运动,乙做初速度为v0乙=30m/s,加速度a乙2=-5m/s2的匀减速直线运动,此时两车相距△x=55m
因为甲做匀加速运动,乙做匀减速运动,根据运动规律,在甲速度增加到和乙相等时两车末能相撞,则以后就不会相撞:
v甲=a甲2t ①
v乙=v乙0+a乙2t ②
当v甲=v乙时,可得运动时间t=3s
在这一过程中,甲的位移x甲2=12a甲2t2=12×5×32m=22.5m
乙的位移x乙2=v0乙t+12a乙2t2=30×3+12×(-5)×32m=67.5m
因为:x甲2+△x>x乙2
所以两车不会相撞.
答:两车在0-9s时间内不会相撞.


本题解析:


本题难度:一般



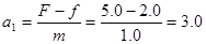
5、简答题  如图所示,倾角θ=37°的斜面固定在水平面上.质量m=0.5kg的小物块受到沿斜面向上的F=9.0N的拉力作用,从斜面底端由静止沿斜面向上运动.小物块与斜面间的动摩擦因数μ=0.25(斜面足够长,取g=10m/s2.sin37°=0.6,cos37°=0.8).
(1)求在拉力F的作用过程中,小物块加速度的大小;
(2)若在小物块沿斜面向上运动x1=0.80m时,将拉力F撤去,求整个运动过程中小物块重力势能的最大值.(取水平面做参考平面)91考试网


参考答案:(1)根据牛顿第二定律,有:F-f-mgsin37°=ma1?
而f=μmgcos37°?
故所求加速度为a1=10m/s2
(2)设撤去拉力时小物块的速度为v,撤去拉力后小物块加速度和向上运动的距离大小分别为a2、x2,有
a2=gsinθ+μgcosθ=8m/s2?
对加速过程,有v2=2a1x1
对减速过程,有v2=2a2x2
解得x2=1.0m?
所求重力势能的最大值为Epm=mg(x1+x2)sin37°=5.4J
答:(1)求在拉力F的作用过程中,小物块加速度的大小10m/s2;
(2)若在小物块沿斜面向上运动x1=0.80m时,将拉力F撤去,求整个运动过程中小物块重力势能的最大值为5.4J.


本题解析:


本题难度:一般



True nobility is exempt from fear. 真正高尚的人是无所畏惧的.

首页 上页 2 3 4 下页 尾页 3/10/10
微信搜索关注"91考试网"公众号,领30元,获取公务员事业编教师考试资料40G
【省市县地区导航】【考试题库导航】
 ★ 高考省级导航 ★ 
全国 A安徽 B北京 C重庆 F福建 G广东 广西 甘肃 贵州 H河南 河北 湖南 湖北 黑龙江 海南 J江苏 江西 吉林 L辽宁 N内蒙古 宁夏 Q青海 S山东 山西 陕西 四川 上海 T天津 X新疆 西藏 Y云南 Z浙江
 ★ 高考信息汇总 ★ 
 ★ 高考历年真题 ★ 
 ★ 高考历年真题 ★ 
 ★ 高考题库 ★ 
 ★ 高考题库 ★ 

电脑版  |  手机版  |  返回顶部