时间:2019-06-29 05:31:32
1、简答题 登山运动员登山时,发现山坡上距他1000m处出现雪崩,根据山的坡度可估计出雪块下滑的加速度约为5m/s2,他有多少时间逃离现场.
2、填空题 汽车以10m/s的速度行驶,刹车后获得2m/s2的加速度,则刹车后4s内通过的路程是______m,刹车后8s内通过的路程是______m.
3、选择题 若以固定点为起点画若干矢量,分别代表质点在不同时刻的速度,则这些矢量的末端所形成的轨迹被定义为“速矢端迹”。由此可知下列说法正确的是:
A.匀速直线运动的速矢端是点
B.匀加速直线运动的速矢端是射线
C.平抛运动的速矢端是抛物线
D.匀速圆周运动的速矢端迹是圆
4、选择题 滑雪运动员从雪坡上匀加速下滑,他依次通过a、b、c三个标志旗,已知ab=6m,bc=10m,人通过ab和bc所用时间都等于2s,则人过a、b、c三个标志旗的速度分别是( )
A.va=2m/s,vb=4m/s,vc=6m/s
B.va=2m/s,vb=3m/s,vc=4m/s
C.va=3m/s,vb=4m/s,vc=5m/s
D.va=3m/s,vb=5m/s,vc=7m/s
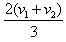
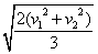
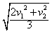
5、选择题 如图所示,木块A、B并排且同定在水平桌面上,A的长度是L,B的长度是2L。一颗子弹沿水平方向以速度v1射入A,以速度v2穿出B。子弹可视为质点,其运动视为匀变速直线运动,则子弹穿出A时的速度为
[? ]
A.
B.
C.
D.