时间:2019-06-29 04:59:07
1、计算题 如图所示,在光滑的水平面上静止着一个质量为m2小球2,质量为m1的小球1以一定的初速度v1朝着球2运动,如果两球之间、球与墙之间发生的碰撞均无机械能损失,要使两球还能再碰,则两小球的质量需满足怎样的关系?
参考答案:
本题解析:
试题分析: 解析:设两球碰后的速度分别为v1′和v2′,由系统动量守恒定律得:
?①
由于发生的是弹性碰撞,碰撞前后的总动能不变,得:
?②?
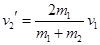
联立式①、②,可解得:
球1碰后速度为
球2碰后速度为
按照题意,只要碰后球1不反弹,即
,即
,总能发生二次碰撞.
或者球1反弹,但是其碰后速率-v1′小于球2速率v2′,即
,也能发生二次碰撞.
综上,只要
即可满足题意.
本题难度:一般
2、选择题 质量为m,速度为v的A球与质量为3m静止的B球发生正碰,碰撞可能是弹性的,也可能是非弹性的,碰撞后B球的速度可能有不同的值,碰撞后B球的速度大小可能是(?)
A.0.6v
B.0.4v
C.0.2v
D.v
参考答案:B
本题解析:设碰撞后A球速度是
,B球的速度是
,假如碰撞的能量损失是Q(
)那么根据能量守恒定律有:
①,根据动量守恒有:
②,当Q=0时,完全弹性碰撞,得
,当
,得
,由此得
,B正确。
本题难度:简单
3、选择题 两个小球在光滑水平面上沿同一直线,同一方向运动,B球在前,A球在后,MA="1kg," MB="2kg," vA=6m/s, vB=2m/s, 当A球与B球发生碰撞后,A、B两球速度可能为
A. vA=5m/s, vB=2.5m/s B. vA=2m/s, vB=4m/s
C . vA=" -4m/s," vB=7m/s D. vA=7m/s, vB=1.5m/s
参考答案:B
本题解析:分析:两球碰撞过程,系统不受外力,故碰撞过程系统总动量守恒;碰撞过程中系统机械能可能有一部分转化为内能,根据能量守恒定律,碰撞后的系统总动能应该小于或等于碰撞前的系统总动能;同时考虑实际情况,碰撞后A球速度不大于B球的速度.
解答:解:考虑实际情况,碰撞后A球速度不大于B球的速度,因而AD错误,BC满足;
两球碰撞过程,系统不受外力,故碰撞过程系统总动量守恒,ABCD均满足;
根据能量守恒定律,碰撞后的系统总动能应该小于或等于碰撞前的系统总动能,碰撞前总动能为22J,B选项碰撞后总动能为18J,C选项碰撞后总动能为57J,故C错误,B满足;
故选B.
点评:本题碰撞过程中动量守恒,同时要遵循能量守恒定律,不忘联系实际情况,即后面的球不会比前面的球运动的快!
本题难度:一般
4、选择题 两球A、B在光滑水平面上沿同一直线、同一方向运动,
、
、
、
。当球A追上球B并发生碰撞后,两球A、B速度的可能值是(取两球碰撞前的运动方向为正)
A.
B. 
C.
D.
、
参考答案:B
本题解析:分析:两球碰撞过程,系统不受外力,故碰撞过程系统总动量守恒;碰撞过程中系统机械能可能有一部分转化为内能,根据能量守恒定律,碰撞后的系统总动能应该小于或等于碰撞前的系统总动能;同时考虑实际情况,碰撞后A球速度不大于B球的速度.
解答:解:考虑实际情况,碰撞后A球速度不大于B球的速度,因而AD错误,BC满足;
两球碰撞过程,系统不受外力,故碰撞过程系统总动量守恒,ABCD均满足;
根据能量守恒定律,碰撞后的系统总动能应该小于或等于碰撞前的系统总动能,碰撞前总动能为22J,B选项碰撞后总动能为18J,C选项碰撞后总动能为57J,故C错误,B满足;
故选B.
点评:本题碰撞过程中动量守恒,同时要遵循能量守恒定律,不忘联系实际情况,即后面的球不会比前面的球运动的快!
本题难度:一般
5、计算题 一个原来静止的锂核
俘获一个速度为
的中子后,生成一个氚核和一个氦核,已知氚核的速度为
,方向与中子的运动方向相反。
(1)请写出核反应方程;
(2)求出氦核的速度v2。
参考答案:解:(1)核反应方程:
(2)设氚核速度为
,氦核的速度为v2,中子质量为m,则氚核质量为3m,氦核质量为4m
根据动量守恒定律得:
代人数据得:
本题解析:
本题难度:一般