高考物理知识点总结《动量》试题巩固(2019年最新版)(三)

时间:2019-06-28 04:44:15

微信搜索关注"91考试网"公众号,领30元,获取事业编教师公务员等考试资料40G

1、选择题  质量为m1=4kg、m2=2kg的A、B两球,在光滑的水平面上相向运动,若A球的速度为v1=3m/s,B球的速度为v2=-3m/s,发生正碰后,两球的速度分别变为v1'和v2',则v1'和v2'可能为?(?)
A.v1'=1m/s,v2'=1m/s? B.v1'=4m/s,v2'=-5m/s
C.v1'=2m/s,v2'=-1m/s?D.v1'=-1m/s,v2'=5m/s


参考答案:AD


本题解析:碰撞前两物体的总动量为:,总动能为
碰撞后要满足
A中满足,符合题意,故A正确;
B中,不符合题意,B错误
C中正碰后B的运动方向没有变化,所以C不符合题意,C错误
D中满足,符合题意,D正确
故选AD
点评:对于碰撞过程要遵守三大规律:1、是动量守恒定律;2、总动能不增加;3、符合物体的实际运动情况


本题难度:一般



2、选择题  如图所示,在水平光滑桌面上有两辆静止的小车A和B,质量之比=3∶1。将两车用细线拴在一起,中间有一被压缩的弹簧。烧断细线后至弹簧恢复原长前的某一时刻,两辆小车的(?)

A.加速度大小之比=1∶1
B.速度大小之比=1∶3
C.动能之比=1∶9
D.动量大小之比=1∶3


参考答案:B


本题解析:分析:先根据动量守恒守恒求出脱离弹簧后两车的速度之比,根据动能、动量的表达式求出动能及动量之比,根据弹簧对两车做功等于车动能的变化量求出弹簧对两车做功之比.
解:根据牛顿第三定律可知两车受力等大反向
根据牛顿第二定律a=F/m
可知加速度大小之比==1∶3
故A错误
在两车刚好脱离弹簧时运用动量守恒得:
pA+pB=0,两车的动量大小之比pA:pB=1:1故D错误;
3mvA+mvB=0
得:vA=-
两车速度大小之比为:,故B正确;
两车的动能之比EkA:EkB=,故C错误;
故选B.


本题难度:简单



3、选择题  一条小船长3米,船上站有一人。人的质量为60kg,船的质量(不包括人)为240kg,开始时船静止在水面上,当该人从船头走向船尾的过程中(不计水的阻力),小船将后退的距离为:(  )
A.0.4m
B.0.5m
C.0.6m
D.0.7m


参考答案:C


本题解析:设船的质量为M,人的质量为m,船长为d,据题,水对船的阻力略不计,船和人组成的系统,在水平方向上动量守恒,人在船上行进,船向右退,取人相对地的速度为正,人和船的速度大小分别为v和V.有:.人从船头走到船尾,设船后退的距离为x,则人相对于地面的距离为.则,则有:解得:.带入数据可得,故C正确,
考点:考查了动量守恒定律的应用


本题难度:一般



4、计算题  【选修3-5选做题】
如图所示,光滑水平面上有一小车B,右端固定一砂箱,砂箱左侧连接一水平轻弹簧,小车和砂箱的总质量为M,车上放一小物体A,质量也是M,小物体A随小车以速度v0向右匀速运动,此时弹簧处于自由长度状态(小物体A与弹簧没有连接).小物体A与左侧车面间有摩擦,动摩擦因数为μ,与其它车面间无摩擦,在匀速运动时,距砂面H高处有一质量为m的泥球自由下落,恰好落在砂箱中.求:?
(1)小车在前进中,弹簧弹性势能的最大值??
(2)为使小物体A不从车上滑下,车面粗糙部分至少应为多长?


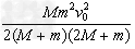
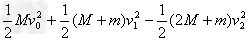
参考答案:解:(1)小球掉小车的过程小球与车水平方向的动量守恒Mv0=(M+m)v1?
弹簧的压缩量最大时,设共同速度为v2,则有Mv0+(M+m)v1=(2M+m)v2?
由能量转化和守恒关系有Ep=?
解以上方程,得Ep=?
(2)根据功能关系有μMgL=EP?


本题解析:


本题难度:一般



5、选择题  “轨道电子俘获”也是放射性同位素衰变的一种形式,它是指原子核(称为母核)俘获一个核外电子,其内部一个质子变为中子,从而变成一个新核(称为子核),并且放出一个中微子的过程,中微子的质量极小,不带电,很难被探测到,人们最早是通过子核的反冲而间接证明中微子的存在的.关于一个静止的母核发生“轨道电子俘获”,衰变为子核并放出中微子,下面的说法中正确的是(  )
A.子核的动量与中微子的动量相同
B.母核的电荷数小于子核的电荷数
C.母核的质量数等于子核的质量数
D.子核的动能大于中微子的动能


参考答案:A、原子核(称为母核)俘获电子的过程中动量守恒,初状态系统的总动量为0,则子核的动量和中微子的动量大小相等,方向相反.故A错误.
B、原子核(称为母核)俘获一个核外电子,使其内部的一个质子变为中子,并放出一个中微子,从而变成一个新核(称为子核)的过程.电荷数少1,质量数不变.故B错误,C正确.
D、子核的动量大小和中微子的动量大小相等,由于中微子的质量很小,根据EK=P22m知,中微子的动能大于子核的动能.故D错误.
故选C.


本题解析:


本题难度:一般




首页 上页 2 3 4 下页 尾页 3/10/10
微信搜索关注"91考试网"公众号,领30元,获取公务员事业编教师考试资料40G
【省市县地区导航】【考试题库导航】
 ★ 高考省级导航 ★ 
全国 A安徽 B北京 C重庆 F福建 G广东 广西 甘肃 贵州 H河南 河北 湖南 湖北 黑龙江 海南 J江苏 江西 吉林 L辽宁 N内蒙古 宁夏 Q青海 S山东 山西 陕西 四川 上海 T天津 X新疆 西藏 Y云南 Z浙江
 ★ 高考信息汇总 ★ 
 ★ 高考历年真题 ★ 
 ★ 高考历年真题 ★ 
 ★ 高考题库 ★ 
 ★ 高考题库 ★ 

电脑版  |  手机版  |  返回顶部