时间:2019-06-28 04:43:14
1、选择题 一列简谐波沿绳子传播,振幅为0.2m,传播速度为lm/s,频率为0.5Hz.在to时刻,质点a?正好经过平衡位置.沿着波的传播方向( )
A.在t0时刻,距a点为2m处的质点离开平衡位置的距离为0.2m
B.在(t0+0.5s)时刻,距a点为lm处的质点离开平衡位置的距离为0.2m
C.在(t0+1.5s)时刻,距a点为lm处的质点离开平衡位置的距离为0.2m
D.在(t0+2S)时刻;距a点为0.5m处的质点离开平衡位置的距离为0.2m
参考答案:BCD
本题解析:
本题难度:简单
2、选择题 一列横波在x轴上传播,图(a)为t=0.2 s时的波动图像,图(b)为波源O的振动图像,则下列说法正确的是
[? ]
A.该波的波长为0.6 m
B.该波的波速为1.0 m/s
C.该波向x轴负方向传播
D.该波的周期为0.4 s
参考答案:BD
本题解析:
本题难度:一般
3、选择题 如图所示,在x轴上传播的一列简谐横波,实线表示t=0时刻的波形图,虚线表示在t=0.2s时刻的波形图.已知该波的波速是80m/s,则下列说法正确的是( )
A.波长是10m
B.周期是0.15s
C.波可能沿x轴正方向传播
D.t=0时,x=4m处的质点速度沿y轴负方向
参考答案:A、由图知,波长λ=12m.故A错误.
B、由v=λT得,T=λv=1280m/s=0.15s.故B正确.
C、t=0.2s,波传播的距离为x=vt=16m=113λ,根据波形的平移法可知,波沿x轴负方向传播.故C错误.
D、t=0时,根据波形的平移法得知,x=4m处的质点速度沿y轴负方向.故D正确.
故选BD
本题解析:
本题难度:一般
4、计算题 如图所示,甲为某一波在t=1.0 s时的图象,乙为参与该波动P质点的振动图象,波速为4 m/s,求:
(1)说出两图中AA"的意义;
(2)说出甲图中OA"B图线的意义;
(3)在甲图中画出再经3.5 s时的波形图;
(4)求再经过3.5 s时P质点的路程和位移。
参考答案:解:(1)甲图中AA"表示A质点的振幅或1.0s时x=1.0m处质点的位移大小为0.2m,方向为负;乙图中AA"表示P质点的振幅,也代表P质点在0.25s内的位移大小为0.2m,方向为负
(2)甲图中OA"B段图线表示O到B之间所有质点在1.0s时的位移,方向均为负。由乙图看出P质点在1.0s时向-y方向振动,所以甲图中波向左传播,则OA"间各质点正向远离平衡位置方向振动,A"B间各质点正向靠近平衡位置方向振动
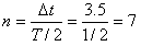
(3)传播距离:Δx=v·Δt=4×3.5 m=14 m =(3+1/2)×4m,所以只需将波形向x轴负向平移2 m即可,如图所示
(4)求路程:因为
所以路程s=2An=2×0.2×7m=2.8 m
求位移:由于波动的重复性,经历时间为周期的整数倍时,位移不变,所以只需考查从图示时刻P质点经T/2时的位移即可,所以经3.5s质点P的位移仍为0
本题解析:
本题难度:一般
5、选择题 某质点在坐标原点O处做简谐运动,其振幅是0.05m,振动周期为0.4s,振动在介质中沿
轴正方向直线传播,传播速度为1m/s,已知它在平衡位置O向上开始振动,振动0.2s后立即停止振动,则停止振动后经过0.2s时间的波是图5-4中的(?)
参考答案:B
本题解析:由题意得,振动在介质中沿
轴正向直线传播,且开始振动时方向向上,由此可知介质中各质点的起振方向均向上,由于振动周期为0.4S,而振源振动0.2S后立即停止振动,所以形成的是半个波长的脉冲,波形一定在
轴上方,振源停止振动后经过0.2S,波形沿
轴正方向平移半个波长即0.2m,波形不变,故选B。
本题难度:一般