高考物理知识大全《动量守恒定律》高频考点特训(2019年必看版)(九)

时间:2019-06-26 04:54:19

微信搜索关注"91考试网"公众号,领30元,获取事业编教师公务员等考试资料40G

1、计算题  如图示,质量M=2kg的长木板B静止于光滑水平面上,B的右边放有竖直固定挡板。现有一小物体A(可视为质点)质量为m=1kg,以初速度从B的左端水平滑上B。已知A与B间的动摩擦因数,A始终未滑离B,B与竖直挡板碰前A和B已相对静止,B与挡板的碰撞时间极短,碰后以原速率弹回(g取10m/s2)。求:
(1)B与挡板相碰时的速度
(2)A滑上B至B与挡板相碰前瞬间,A相对B的位移
(3)最终AB的速度


参考答案:(1)设B与挡板相碰时的速度大小为,由动量守恒定律
(4分)?(2分)
(2)A滑上B至B与挡板相碰过程中,A、B间的相对位移为,根据动能定理,有
?(4分)?解得?(2分)
B与挡板碰后,A、B最后一起向左运动,共同速度大小为,由动量守恒定律
?(4分)?(2分)


本题解析:略


本题难度:一般



2、简答题  .如图所示,质量为M的长滑块静止在光滑水平面上,左侧固定一劲度系数k足够大的水平轻质弹簧,右侧用一不可伸长的细轻绳连接于竖直墙上,细绳所能承受的最大拉力为T。使一质量为m、初速度为v0的小物块,在滑块上无摩擦地向左滑动,而后压缩弹簧。(弹簧弹性势能的表达式,其中k为劲度系数,x为弹簧的压缩量)

(1)给出细绳被拉断的条件. (2)滑块在细绳拉断后被加速的过程中,所能获得的最大向左加速度为多少.


参考答案:(1)
(2)


本题解析:(1) 设细绳刚被拉断时弹簧的压缩量为x0,此时有 kx0=T
为使弹簧压缩达到x0,对小物块要求是?
由此得到细细绳被拉断的条件?
(2) 绳断时,小物体速度为v1,则有?
解得?
而后M在弹力作用下由静止开始加速,直至与m达到共同速度v2,此时弹簧压缩时x最大,则由能量、动量守恒关系
mv1=(M+m)v2?
此时该M加速度最大为?


本题难度:一般



3、选择题  某静止的放射性元素的原子核

?
mz
X,放出一个α粒子后转变成某种新粒子Y,设衰变过程产生的核能以动能的形式释放出来,若已知α粒子的动能为Ek,真空中光速为c,则(  )
A.Y的动能为
(m-4)EK
4

B.Y的动能为?
4EK
m-4

C.衰变过程中的质量亏损为
mEK
(m-4)c2

D.衰变过程中的质量亏损为
(m-4)EK
mc2


参考答案:(1)核反应过程中,质量数与核电荷数守恒,α粒子的质量数是4,则新核Y的质量数是m-4,
设α粒子的速度为v,由动量守恒定律得:4v+(m-4)v′=0,可得
v′=-4vm-4,α粒子的动能:
EK=12mαv2=12×4×v2=2v2,新核Y的动能EKY=12(m-4)v′2=12(m-4)(4vm-4)22=8v2m-4=4Ekm-4,
故A错误,B正确;
(2)核反应释放的能量E=EK+EKY=EK+4Ekm-4=mm-4Ek,由质能方程可知:E=△mc2
质量亏损△m=Ec2=mEk(m-4)c2,故C正确D错误.
故选BC.


本题解析:


本题难度:简单



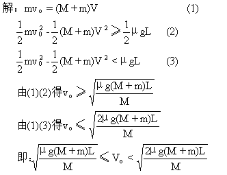
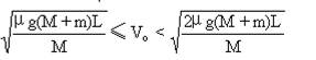
4、简答题  如图所示长为L质量为M的长木板静止在光滑水平面上,A,B为其端点,O为中心,质量为m长度可忽略的小木块以水平地沿木块表面滑来,两物体间动摩擦因数为μ,问在什么范围内才能使小木块滑到OB之间停下来?


参考答案:


本题解析:


本题难度:简单



5、实验题  “实验:探究碰撞中的不变量”的基本思路是:
(1)______________________________;
(2)______________________________。


参考答案:(1)与物体运动有关的物理量可能有哪些
(2)碰撞前后哪个物理量可能是不变的


本题解析:


本题难度:一般




首页 上页 8 9 10 下页 尾页 9/10/10
微信搜索关注"91考试网"公众号,领30元,获取公务员事业编教师考试资料40G
【省市县地区导航】【考试题库导航】
 ★ 高考省级导航 ★ 
全国 A安徽 B北京 C重庆 F福建 G广东 广西 甘肃 贵州 H河南 河北 湖南 湖北 黑龙江 海南 J江苏 江西 吉林 L辽宁 N内蒙古 宁夏 Q青海 S山东 山西 陕西 四川 上海 T天津 X新疆 西藏 Y云南 Z浙江
 ★ 高考信息汇总 ★ 
 ★ 高考历年真题 ★ 
 ★ 高考历年真题 ★ 
 ★ 高考题库 ★ 
 ★ 高考题库 ★ 

电脑版  |  手机版  |  返回顶部