时间:2019-06-26 04:22:14
1、选择题  作匀减速直线运动的物体在第1秒末的瞬时速度为?3m/s,则在第1秒内的位移是(  )
A.等于3m
B.大于3m
C.小于3m
D.不能确定
2、填空题  一小车以6m/s的初速度,2m/s2的加速度在水平面上作匀速直线运动,则2s末小车的速度为___________m/s,发生的位移为____________m。 
3、简答题 做匀减速直线运动的物体的初速度为v0,运动5s后速度减小为
| v0 2  | 
4、选择题  有一个物体开始时静止在O点,先使它向东作加速度大小为1m/s2的匀加速直线运动,经过5秒钟,使它的加速度方向立即改为向西,加速度的大小不变,再经过5秒钟,又使它加速度方向改为向东,但加速度大小不改变,如此重复共历时20秒,则这段时间内(  )
A.物体运动方向时而向东时而向西
B.物体最后静止在距O点向东50m处
C.物体运动时快时慢,一直向东运动
D.物体速度一直在增大
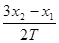
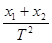
5、选择题  物体做匀加速直线运动,在时间T内通过位移x1到达A点,接着在时间T内又通过位移x2到达B点,则物体
A.在A点的速度大小为
B.在B点的速度大小为
C.运动的加速度为
D.运动的加速度为