时间:2019-06-26 04:22:14
1、选择题  作匀减速直线运动的物体在第1秒末的瞬时速度为?3m/s,则在第1秒内的位移是(  )
A.等于3m
B.大于3m
C.小于3m
D.不能确定
参考答案:B
本题解析:
本题难度:简单
2、填空题  一小车以6m/s的初速度,2m/s2的加速度在水平面上作匀速直线运动,则2s末小车的速度为___________m/s,发生的位移为____________m。 
参考答案:10,16
本题解析:
本题难度:一般
3、简答题 做匀减速直线运动的物体的初速度为v0,运动5s后速度减小为
| v0 2  | 
参考答案:(1、2)最后2s内运动的距离是2m,采取逆向思维,根据x1=12at12得,
a=2x1t12=44m/s2=1m/s2.
由a=v0-v02t′得,v0=10m/s.
则t=0-v0a=-10-1s=10s.
答:物体从减速到停止所用的时间t为10s,物体运动的加速度a大小为1m/s2,初速度v0的大小为10m/s.
(3)根据v2-v02=2ax得,
x=v2-v022a=-100-2m=50m.
答:减速运动的最大距离x为50m.
本题解析:
本题难度:一般
4、选择题  有一个物体开始时静止在O点,先使它向东作加速度大小为1m/s2的匀加速直线运动,经过5秒钟,使它的加速度方向立即改为向西,加速度的大小不变,再经过5秒钟,又使它加速度方向改为向东,但加速度大小不改变,如此重复共历时20秒,则这段时间内(  )
A.物体运动方向时而向东时而向西
B.物体最后静止在距O点向东50m处
C.物体运动时快时慢,一直向东运动
D.物体速度一直在增大
参考答案:A、物体在第一个5s内做初速度为0的匀加速直线运动,加速度大小不变,反向改变后,在第二个5s内做匀减速直线运动,5s后速度变为0,以后重复前面的运动.知物体一直向东运动,没有返回.且速度时快时慢.故A、D错误,C正确.
B、物体在第一个5s内的位移x1=12at12=12×1×25m=12.5m,根据运动的对称性和周期性,则20s末的位移x=4x1=50m,末速度为零.故B正确.
故选:BC.
本题解析:
本题难度:简单
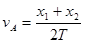
5、选择题  物体做匀加速直线运动,在时间T内通过位移x1到达A点,接着在时间T内又通过位移x2到达B点,则物体
A.在A点的速度大小为
B.在B点的速度大小为
C.运动的加速度为
D.运动的加速度为
参考答案:AB
本题解析:A点位于中间时刻,根据中间时刻的瞬时速度等于平均速度,所以
,A错;
再根据
,得到,
,CD错;

,B对
本题难度:简单