时间:2019-06-26 04:05:26
1、填空题 在用电压表和电流表测两节电池串联的电动势的内电阻时,除备有电池、电键、足量的导线外,还有下列仪器可供选择:
A.电流表A1(0~0.6A)
B.电流表A2(0~3A)
C.电压表V1(0~3V)
D.电压表V2(0~15V)
E.滑动变阻器R1(20Ω,2A)
F.滑动变阻器R2(1750Ω,3A)
应该选用的仪器(写出前面的字母)______.
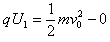
一个学生用以上仪器测得如下表中的数据,在图中所示的坐标系中画出U-I图象,从图中可得电源的电动势为______V,内阻为______Ω.
| 序号 | 1 | 2 | 3 | 4 | 5 | 6 U/V 2.70 2.50 2.30 2.00 1.80 1.62 I/A 0.08 0.16 0.25 0.36 0.45 0.50 |

参考答案:(1)两节干电池的电动势为3V,故电压表应选3V;滑动变阻器应便用调节,故滑动变阻器应选20Ω的;电路中的电流由下表中数据可知没有超过0.6A,故电流表应选0.6A的;故应该选用的仪器为?A、C、E.
(2)由表中数据选择标度如图,将各点描点图中,用直线将各点相连;U-I图象在坐标系中画出如下图所示;
(3)从图中可得电源的电动势为?2.94(2.93-3.00均可)?V,内阻为r=2.94-1.620.50=2.4Ω(2.4~2.5均可).
故答案为:ACE;图象如下图; 2.94V;2.4Ω.
本题解析:
本题难度:一般
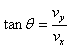
2、实验题 在测定金属电阻率的实验中,某同学连接电路如图所示,闭合电键后,发现电路有故障(已知电源、电表和导线均完好,电源电动势为E):
(1)若电流表示数为零、电压表示数为E,则发生故障的是_________________(填“待测金属丝”“滑动变阻器”或“电键”)。
(2)若电流表、电压表示数均为零,该同学利用多用电表检查故障。先将选择开关旋至___________档(填“欧姆×100”“直流电压10V”或“直流电流25mA”),再将__________(填“红”或“黑”)表笔固定在a接线柱,把另一支表笔依次接b、c、d接线柱。若只有滑动变阻器断路,则多用电表的示数依次是___________、____________、_____________。
参考答案:(1)待测金属丝
(2)直流电压10V ;红;0;E;E
本题解析:
本题难度:一般
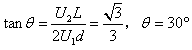
3、计算题 如图所示,一个质量为m、电荷量q的带正电粒子(重力忽略不计),从静止开始经电压U1加速后,沿水平方向进入水平放置的两平行金属板间,已知金属板长为L,两板间距
,板间电压U2=
U1。粒子离开偏转电场后进入一个垂直于纸面的匀强磁场,磁场左右边界线均在竖直方向上,粒子在磁场中运动的时间为t,并恰好沿水平方向从磁场右边界穿出,求:
(1)带电粒子离开电场时偏离原运动方向的角度
;
(2)磁场B的大小和方向。 
参考答案:解:(1)设带电粒子经U1电场加速后速度为
由动能定理
粒子在电场中受电场力
做类似平抛运动有:

解得:
(2)粒子在磁场中做匀速圆周运动,如图,由几何关系得圆弧的圆心角为
故运动时间
解得:
,方向垂直纸面向里
本题解析:
本题难度:困难
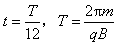
4、简答题 在测定一节干电池的电动势和内电阻的实验中,实验室备有下列器材选用:
A.干电池(电动势E约1.5V,内电阻r约1.0Ω)
B.电流表G(满偏电流2.0mA,内阻Rg=10Ω)
C.电流表A(量程0~0.6A,内阻约0.5Ω)
D.滑动变阻器R(0~20Ω,10A)
E.定值电阻R0(阻值990Ω)
F.开关和导线若干
两组同学分别采用了不同实验方案进行实验:
(1)一组同学设计的实验电路如图1所示,并利用以上器材正确连接好电路,进行了实验测量.根据他们的实验设计,完成下列问题:闭合开关S,移动滑动变阻器的滑动端P至某一位置,记录电流表G的示数I1和电流表A的示数I2.多次改变滑动端P的位置,得到多组数据.在图2所示的坐标纸上建立I1、I2坐标系,并已标出了与测量数据对应的5个坐标点.还有一组数据如图的电表所示,请依据所标各点标在图中描绘I1-I2图线.
利用所画图线求得电源的电动势E=______V,电源的内电阻r=______Ω.(结果要求保留两位小数)
(2)另一组同学采用滑动变阻器和一个多用电表来测定电池的电动势和内阻.实验原理如图3所示.当变阻器为某一阻值时,用多用电表的直流电压挡测出变阻器两端的电压U,再卸去变阻器一个接线柱的导线,把多用电表串联在电路中,用直流电流挡测出通过变阻器的电流I.随后改变变阻器的电阻,重复上述操作,获得多组U、I数据,并计算得出实验结果.这个实验方案在测量原理上的主要缺点是______.
参考答案:(1)根据坐标系内描出的点作出图象,图象如图所示;
由图1所示电路图可知,在闭合电路中:E=I1(R0+Rg)+I2r,
I1=ER0+Rg-rR0+RgI2,
由图象可知,ER0+Rg=1.48×10-3,
rR0+Rg=△I1△I2=(1.48-1.20)×10-30.5=0.56×10-3,
解得,E=1.48V,r=0.56Ω;
(2)由实验步骤可知,实验采用伏安法测电源电动势与内阻,实验过程中只有一个多用电表,需要反复拆接电路,实验操作太麻烦,不方便实验.
故答案为:(1)1.48;0.56;(2)实验操作麻烦.
本题解析:
本题难度:一般
5、选择题 一个动能为Ek?的带电粒子,垂直于电力线方向飞入平行板电容器,飞出电容器时动能为2Ek,如果使这个带电粒子的初速度变为原来的两倍,那么它飞出电容器时的动能变为( )
A.8Ek
B.4.25Ek
C.5Ek
D.4Ek
参考答案:设粒子第一个过程中初速度为v,Ek=12mv2,电场宽度L,
第一个过程中沿电场线方向的位移为:h=12a(Lv)2
第一个过程由动能定理:qEh=2Kk-Ek
第二个过程中沿电场线方向的位移为:H=12a(L2v)2=h4
qEH=Ek末-4Ek
解得:EK末=4.25Ek
故选:B
本题解析:
本题难度:一般