时间:2019-06-23 22:26:00
1、选择题 某小型发 电机产生的交变电动势为
(V),对此电动势,下列表述正确的有
A.最大值是
V
B.周期是0.02s
C.有效值是
V
D.频率是100Hz
参考答案:B
本题解析:由表达式知电动势最大值为
,选项A错误;周期
,选项B正确;有效值
,选项C错误;频率为
,选项D错误;故选B.
本题难度:简单
2、简答题
一般的日光灯,当加在它两端的电压增大到u1=200V的时候就能发光,发光后如果电压降低到u2=121.3V就会熄灭.如果日光灯是接在电压U=220V、频率f=50Hz的交流电路里,试计算日光灯每次发光延续的时间
参考答案:
6.52×10-3s
本题解析:
由有效值U=220V,电压的最大值
电压即时值可以表示成为
u=Umaxsin2πft=Umaxsinωt,
它的图像如图所示.
设经t1时间后电压由零增大到u1,这时日光灯开始发光,于是
u1=Umaxsinωt1,
由此得
这个三角方程满足上设条件的解是



也就是日光灯经过t1=0.111T时间,第一次开始发光.
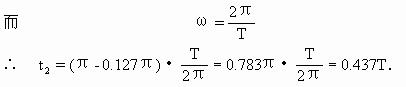
再设经过t2时间,电压由零增大到最大值后又减小到等于u2,这时日光灯熄灭,于是
u2=Umaxsinωt2.
同样方法,可得满足上设条件的解是

也就是日光灯经过t2=0.437T时间,第一次熄灭.
所以日光灯发光的持续时间是
说明:(1)从以上计算可知,日光灯每次发光的持续时间,大
电压反向增大到u1的时候日光灯又会发光,持续的时间仍相同.在一个周期里,日光灯明暗交替两次,也就是说日光灯实际上是时明时暗的,在一秒钟的时间里,亮一百次,暗一百次.那么为什么我们感觉不到日光灯的闪烁呢?这是由于人的视觉有一个短暂的暂留现象.视觉神经受到的外界光的刺激作用消失后,视觉还会保留一个短暂的时间,这个时

就感觉不到它的“熄灭”了.如果我们伸开手掌,在日光灯下挥动,就会看到一片明暗相间、闪烁不定的现象,跟在普通的白炽灯光下挥动手指看到的现象不同,这就是日光灯忽明忽暗的缘故.
(2)上面计算的时候,我们把加在灯管两端的电压当作是正弦交变电压.事实上,由于日光灯管是气体导电,不是纯电阻性负载,因而灯管的实际电压和电流波形都不是严格的正弦曲线,而且电压和电流之间有相差,所以上面的计算只是近似的.
本题难度:简单
3、选择题 如图所示,处在磁感应强度为B的匀强磁场中的单匝矩形线圈abcd,以恒定的角速度
绕ab边转动,磁场方向垂直于纸面向里,线圈所围面积为S,线圈导线的总电阻为R。t=0时刻线圈平面与纸面重合,且cd边正在离开纸面向外运动。则正确的是
[? ]
A.时刻t线圈中电流的瞬时值i=
B.线圈中电流的有效值
C.线圈中电流的有效值
D.线圈消耗的电功率
参考答案:C
本题解析:
本题难度:一般
4、选择题 如图,是一个小型电风扇电路简图,其中理想变压器的原、副线圈的匝数比为n:1,原线圈接电压为U的交流电源,输出端接有一只电阻为R的灯泡L和风扇电动机D,电动机线圈电阻为r。接通电源后,电风扇正常运转,测出通过风扇电动机的电流为I,则下列说法正确的是
A.风扇电动机D两端的电压为
B.理想变压器的输入功率为
C.风扇电动机D输出的机械功率为
D.若电风扇由于机械故障被卡住,则通过原线圈的电流为
参考答案:CD
本题解析:风扇正常运转,为非纯电阻电路,风扇电动机的两端电压
,选项A错。根据原副线圈匝数比等于电压比可得
,副线圈电压
,副线圈电流
,根据电流与匝数成反比,可得原线圈电流
,理想变压器输入功率等于
,选项B错。风扇电动机D输出的机械功率为总功率减去热功率即
,选项C对。若电风扇由于机械故障被卡住,则风扇变为纯电阻,此时副线圈电流
,原线圈电流
,选项D对。
本题难度:简单
5、填空题 一台理想变压器的副线圈有100匝,输出正弦交流电压为10V,则铁芯中磁通量的变化率的最大值是____________。
参考答案:0.1414Wb/s
本题解析:
本题难度:一般