时间:2019-06-23 22:20:12
1、简答题 如图所示,在真空中,半径为R=5L0的圆形区域内存在匀强磁场,磁场方向垂直纸面向里.在磁场右侧有一对平行金属板M和N,两板间距离为d=6L0,板长为L=12L0,板的中心线O1O2与磁场的圆心O在同一直线上.有一电荷量为q、质量为m的带电的粒子,以速度v0从圆周上的a点沿垂直于半径OO1并指向圆心的方向进入磁场平面,当从圆周上的O1点水平飞出磁场时,给M、N板加上如下图所示电压,最后粒子刚好以平行于M板的速度,从M板的边缘飞出(不计粒子重力).求
(1)磁场的磁感应强度;
(2)求交变电压的周期T和电压U0的值;
(3)若t=
| 3T 2 |

参考答案:
(1)粒子由a点进入磁场在洛仑兹力作用下做匀速圆周运动,所以qv0B=mv20r①
由题意知粒子圆周运动的半径:r=R=5L?0②
由①、②得:B=mv05qL0
(2)据题意,粒子在电场中的运动时间为周期的整数倍,
即:t=Lv0=nT于是得:T=12L0nv0(n=1,2,3…)
粒子在电场中运动侧向总位移:Y=12?qU0md(T2)2?2n=d2
代入计算得:U0=nmv202q(n=1,2,3…)
(3)由粒子在磁场中的受力可判断可知粒子带负电,粒子在t=32T时刻进入电场后向N板偏转,由题意知粒子应刚好平行于N板从N板的边缘水平飞出,并沿着水平方向进入磁场.
如图,设粒子从B点进入磁场,从C点射出,O″点为粒子圆周运动的圆心,由(1)知:r=R,所以OBO″C为菱形,故有OC∥O″B,由于粒子水平射出,故O″B⊥v0,于是OC⊥v0,方向竖直,故aOC共线,所以射出的点到a点的距为:aC=2R=10L0.
答:
(1)磁场的磁感应强度为mv05qL0;
(2)求交变电压的周期T为12L0nv0(n=1,2,3…),电压U0的值为mmv202q;
(3)若t=3T2时,该粒子从M、N板右侧沿板的中心线仍以速率v0向左射入M、N之间,粒子从磁场中射出的点到a点的距离等于10L0.
本题解析:
本题难度:一般
2、选择题 如图所示,一个带电油滴,从O点以速度v向右上方?射入匀强电场中,v的方向与电场方向成α角,测得油滴到达运动轨迹的最高点P时,它的速度大小仍为v,则下列说法正确的是( )
A.重力和电场力的合力方向和OP垂直
B.不管油滴带何种电荷,P点总是在O点的右上方
C.O、P与初速v所成的角度可能为
| α 2 |
| π-α 2 |

参考答案:

A、将油滴所受的电场力和重力的合力作为油滴的等效重力G′,所以小球的运动为“类斜上抛运动”.因此PO连线相当于在同一“高度”,所以等效的重力垂直于OP连线,故A正确;
B、当油滴带正电时,电场力向右,则油滴向右上方偏,所以P点在O点的右上方;若油滴带负电时,电场力向左,则油滴先向右上方偏,后向左上方运动,所以P点在O点的左上方.故B错误;
C、将油滴所受的电场力和重力的合力作为油滴的等效重力G′,所以小球的运动为“类斜上抛运动”.(1)若油滴带正电,则油滴向右做类斜抛运动,轨迹如图5所示.当油滴运动到最高点P时,速度方向水平,由题意知此时油滴的速度大小仍为v,所以OP两点均位于x轴上,由类斜抛运动的特点可知速度方向如图5所示,则2β=α,所以β=α2,即OP与初速度v的夹角为α2,而G与Eq的合力G′与x轴垂直,所以选项A正确.(2)若油滴带负电,则带电粒子的运动轨迹及速度方向如图6所示,用同样的方法可求得OP与初速度v的夹角为π-α2,所以选项C正确.
D、在最高点P,等效重力G′与速度v的方向不垂直,所以其瞬时功率不为零,故D错误;
故选:AC
本题解析:
本题难度:一般
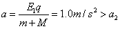
3、计算题 如图所示,为一个实验室模拟货物传送的装置,A是一个表面绝缘质量为2kg的长板车,车置于光滑的水平面上,在车左端放置一质量为1kg带电量为q=1×10-2C的绝缘小货物B,在全部传送途中有一水平电场,可以通过开关控制其有、无及方向。先产生一个方向水平向右,大小E1=3×102N/m的电场,车和货物开始运动,作用时间2s后,改变电场,电场大小变为E2=1×102N/m,方向向左,电场作用一段时间后,关闭电场,关闭电场时车右端正好到达目的地,货物到达车的最右端,且车和货物的速度恰好为零。已知货物与车间的动摩擦因数μ=0.1,(车不带电,货物体积大小不计,g取10m/s2)求:
(1)第二次电场作用的时间;
(2)车的长度。 
参考答案:解:(1)因为车最大加速度
货物和车若以相同加速度一起运动,
所以,货物和车不可能以相同加速度一起运动
货物
车
经t1=2s货物运动
车运动
货物V1=a1t1=2×2=4m/s,向右
车V2=a2t1=0.5×2=1m/s,向右
经2秒后,货物作匀减速运动,
,向左
车加速度不变,仍为a2=0.5m/s2,向右
当两者速度相等时,共同速度为V=V1-a1′t2,V=V2+a2′t2
t2=1.2s,V=1.6m/s
以后因为若物和车若以相同加速度一起运动,
所以货物和车一起作为整体向右作匀减速直到速度都为0
货物和车获得共同速度至停止运动用时
第二次电场作用时间为t=t2+t3=6s
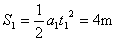
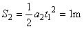
(2)由题意,可得,当货物和车速度相等时,货物恰好移到车的最右端
车在t2时间内位移S3=V2t2+
a2t22=
m=1.56m
货物在t2时间内位移为S4=V1t2-
a1′t22=
m=3.36m
车长度L=S1-S2+S4-S3=
m=4.8m
本题解析:
本题难度:困难
4、选择题 带电粒子在电场中运动时,若只受电场力作用,则下列说法正确的是( )
A.带正电粒子的加速度方向总和电场线切线方向一致
B.带正电粒子从静止释放,一定沿电场线运动
C.带电粒子在匀强电场,其运动径迹有可能与电场线重合
D.带电粒子在电场中可能做匀速圆周运动
参考答案:A、正电荷受到的电场力方向与电场线切线方向相同,所以带正电粒子的加速度方向总和电场线切线方向一致,故A正确.
B、当电场线为曲线时,带正电粒子从静止释放,粒子的轨迹一定不沿电场线,故B错误.
C、带电粒子在匀强电场,当其初速度方向与电场线方向平行时,其运动径迹与电场线重合,故C正确.
D、电子只在原子核的库仑引力作用下,由可能绕原子核做匀速圆周运动,故D正确.
故选:ACD
本题解析:
本题难度:一般
5、简答题 应用阻值相同的两电阻线串联起来作为安培表的分路,其最大量度范围是1.5安培,现在把这两电阻线并联起来,再作为该安培表的分路,其最大量度范围度为3安培.那么这个安培表原来的最大量度范围是______.
参考答案:设一个电阻丝电阻为R,安培表内阻为r,原来安培表量程为I?A,根据欧姆定律和串并联规律有:当连电阻丝串联时如图所示,有1.5=I?A+I?Ar2R,当两电阻丝并联时如图所示,有3=I?A+2.I?ArR,联立解得I?A=1A,
故答案为:1A.
本题解析:
本题难度:一般