时间:2019-06-23 22:15:03
1、计算题  在一次测定引力常量的实验中,已知一个质量为0.8kg的球,以1.3×10-10N的力吸引另一个质量为4.0×10-3kg的球,这两个球相距0.04m,求引力常量G。地球表面的重力加速度为9.8m/s2,地球的半径为6400km,求地球的质量。
参考答案:
?解:由万有引力定律F=Gm1m2/r2 ①
mg=GMm/r2地 ② 
本题解析:
本题难度:一般
2、选择题  一艘宇宙飞船绕一颗不知名的行星表面飞行,要测定该行星的密度,仅仅需要测定
[? ]
A.飞船的运动周期?
B.飞船的环绕半径?
C.行星的体积?
D.飞船的运动速度
参考答案:A
本题解析:
本题难度:简单
3、选择题  一星球密度和地球密度相同,它的表面重力加速度是地球表面重力加速度的2倍,则该星球质量是地球质量的 
[? ]
A.2倍 
B.4倍 
C.8倍 
D.16倍 
参考答案:C
本题解析:
本题难度:一般
4、选择题  已知引力常量G、月球中心到地球中心的距离R和月球绕地球运行的周期T。仅利用这三个数据,可以估算出下列哪个物理量?( ? )
A.月球的质量 
B.地球的质量 
C.地球的半径 
D.月球的半径
参考答案:B
本题解析:
本题难度:简单
5、计算题  某天文台通过长期的观测,发现在一颗行星有很多小卫星,并且相对均匀地分布于行星附近,并绕其做匀速圆周运动。测得其中一颗离行星最近的卫星的运动周期为T,运动半径为r,行星半径为R,万有引力常量为G,求
(1)该行星的质量M和平均密度ρ;(忽略卫星之间的相互作用)
(2)通过观测还发现,在距离行星很远处还有一颗卫星,其运动半径是nR,运动周期是kT,求靠近行星周围的卫星的总质量m。
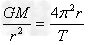
参考答案:解:(1)对距行星最近的小行星的运动分析,万有引力提供向心力有
得
,
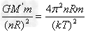
(2)对距离行星很远的行星分析
得
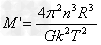
行星周围的卫星的总质量为
本题解析:
本题难度:一般