时间:2019-06-23 21:57:43
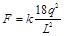
1、计算题 如图所示,质量均为m的三个带电小球A、B、C,放在光滑的绝缘水平面上,彼此相隔的距离为L(L比球半径r大许多),B球带电量为QB =-3q,A球带电量为QA=+6q,若对C球加一个水平向右的恒力F,要使A、B、C三球始终保持L的间距运动,求:
(1)F的大小为多少?
(2)C球所带的电量为多少?带何种电荷?
参考答案:解:由于A,B,C三球始终保特L的间距,它们具有相同的加速度,设为a,则
…2分
对A、B、C球受力分析可知,C球带正电,对A球:FAB-FAC=ma,即
?……2分
对B球:-FAB+FBC=ma,即
,……2分
联立以上各式得QC=8q.
?…
本题解析:解:(1)由于A,B,C三球始终保特L的间距,它们具有相同的加速度,设为a,则以整体为研究对象有,
(2)对A、B、C球受力分析可知,C球带正电,对A球:FAB-FAC=ma,即
?
对B球:-FAB+FBC=ma,即
, 联立以上各式得QC=8q.
本题难度:一般
2、计算题 质量为10 kg的物体在100 N的水平拉力作用下,在水平面上从静止开始做匀变速直线运动,速度达16 m/s时位移为16 m,2.5s后撤去拉力,求拉力撤去后再经11 s的位移。
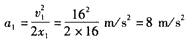
参考答案:解:撤去拉力前是已知运动情况求受力(摩擦力)情况。由v12=2a1x1,得加速度
?
再由F1-Ff=ma1,得摩擦力Ff=F1-ma1=100N-10×8N=20N
2.5s末速度v2=a1t1=8×2.5m/s=20 m/s
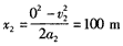
撤去外力后是已知受力情况求运动情况(位移)。由-Ff=ma2,得加速度a2=-2m/s2
由0=v2+a2t2,得t2=10 s后速度为0,即物体变为静止
故所求位移即为再经10 s的位移,为
本题解析:
本题难度:一般
3、选择题 如图,水平面上,质量为10kg的物块A拴在一个被水平位伸的弹簧一端,弹簧的另一端固定在小车上,小车静止不动,弹簧对物块的弹力大小为5N时,物块处于静止状态,若小车以加速度a=1m/s2沿水平地面向右加速运动时( )
A.物块A相对小车仍静止
B.物块A相对小车向左运动
C.物块A相对小车向右运动
D.无法判断物块A相对小车是否仍静止
参考答案:小车静止时,静摩擦力等于弹簧的弹力,等于5N.当小车向右加速运动时,根据牛顿第二定律,物块的合力F合=ma=10N,方向向右,知弹簧的弹力水平向右,若仍然保持静止,静摩擦力为5N,方向水平向右.所以物块相对于小车静止.故A正确,B、C、D错误.
故选A.
本题解析:
本题难度:简单
4、填空题 质量为2×103kg的汽车,发动机的最大输出功率为80kW,在平直的公路上受到4×103N的恒定阻力作用,则它能够达到的最大速度为______m/s;如果让汽车在公路上由静止开始以2m/s2的加速度做匀加速直线运动,则这个匀加速过程可以维持的时间为______s.
参考答案:当汽车以额定功率做匀速直线运动时,速度最大,则有F=F阻=4×103N
由P=Fvm,得? vm=PF=PF阻=800004×103m/s=20m/s.
?设汽车匀加速直线运动过程中牵引力为F1,根据牛顿第二定律得
? F1-F阻=ma,得到? F1=F阻+ma,
当汽车做匀加速直线运动功率达到额定功率时速度为
? v1=PF1=PF阻+ma
又v1=at得
? t=Pa(F阻+ma)
代入解得? t=5s
故答案为:20;5.
本题解析:
本题难度:一般
5、计算题 (8分)一辆质量为2t的汽车,其发动机的额定功率是75kw,当它在水平公路上匀速行驶时最大速度可达25m/s,设汽车阻力不变,问:
(1)当汽车以20m/s的速度匀速行驶时,发动机输出功率是多少?
(2)当汽车以额定功率行驶,加速度a=2.25m/s2时,汽车的速度多大?
参考答案:(1)60kw?(2)10m/s
本题解析:由题意知汽车做匀速运动时,牵引力等于阻力,所以:
(2)根据牛顿第二定律有:
本题难度:一般