时间:2019-06-23 21:32:03
1、计算题 如图所示,在距地面高为H=45m处,某时刻将一小球A以初速度v0=10m/s水平抛出,与此同时,在A的正下方有一物块B也以相同的初速度沿水平地面同方向滑出,B与水平地面间的动摩擦因素为μ=0.4,A、B均可视为质点,空气阻力不计,求:
(1)A球落地时的速度大小;
(2)A球落地时,A、B之间的距离。 
参考答案:解:(1)根据动能定理(或机械能守恒)
得到2×10×45 = v2-102,
解得:
m/s
(2)由
得到
,sA=v0t =10×3m=30m
因为
,
所以当小球A落地时物体B已经停止运动
得到
,sAB = sA-sB=30-12.5m=17.5m。
本题解析:
本题难度:一般
2、计算题 如图所示,长木板及小铁块的质量为M=m=1.0kg,木板的长度L=2.25m ,木板的a、b两表面的粗糙程度不同。a表面与小铁块间的摩擦因数,b表面与水平面间的摩擦因数
。开始时木板静止在水平面上,小铁块在木板的最左端以某一速度向右运动,刚好能滑到木板的最右端。 (g=10m/s2)(提示:要注意判断木板是否运动)
(1)求小铁块的初速v0 。
(2)将木板翻转,b面向上,a面向下,小铁块与b面的摩擦因数,a面与水平面间的摩擦因数
。小铁块仍以v0的速度从木板的左端向右滑,判断小铁块能否滑到木板的最右端。若能,求出滑到右端时的速度。若不能求出它最终相对木板的位移。 
参考答案:解:(1)
? ∴板不动
根据动能定理得:
解得:
(2)∵
?
?∴铁块不可能从右端滑出?,
?
∴板动?
由牛顿第二定律得:
, a1=5m/s2 。
,a2=1.0m/s2 。
设t时刻铁块和木板达到共同速度v,然后一起运动到停止。
v0-a1t=a2t ,Δs=
0.75m
本题解析:
本题难度:一般
3、简答题 如图所示,用与水平成53°的力F将质量为m=6kg的静止物体从水平面上的A点拉到B点,AB=15m,物体与水平面间的动摩擦因数为μ=0.5.然后撤去水平力,物体冲上高为H=5m的光滑的斜面BC,水平面与斜面间有很小的光滑圆弧相接,物体冲到斜面顶时速度恰减小到零.求:
(1)物体在B点的速度大小;
(2)F的大小.(sin37°=0.6?cos37°=0.8)
参考答案:(1)B→C过程,由动能定理得:
-mgH=0-12mvB2,解得:vB=
本题解析:
本题难度:一般
4、计算题 如图所示,MN是竖直平面内的1/4圆弧轨道,绝缘光滑,半径R=1m。轨道区域存在E=4N/C、方向水平向右的匀强电场。长L1=5 m的绝缘粗糖水平轨道NP与圆弧轨道相切于N点。质量ma=100g、电荷量qa=+1C的金属小球a从M点由静止开始沿圆弧轨道下滑,进入NP轨道随线运动,与放在随右端的金属小球b发生正碰,b与a等大,不带电,mb=50g,b与a碰后均分电荷量,然后都沿水平放置的A、C板间的中线进入两板之间。已知小球a恰能从C板的右端飞出,速度为
,小球b打在A板的D孔,D孔距板基端
,A、C板间电势差UCA=2V,A、C板间有匀强磁场,磁感应强度B=0.2T,板间距离d=2m,电场和磁编仅存在于两板之间。g=10m/s2。求:
(1)小球a运动到N点时,轨道对小球的支持力FN多大?
(2)碰后瞬间,小球a和b的速度分别是多大?
(3)粗糙绝缘水平面的动摩擦因数μ是多大?
参考答案:解:(1)设小球a运动到N点时的速度为va0,则
magR+qaER=
mava02?
FN-mag=mava02/R?
解得va0=10m/s,FN=11 N
(2)设a、b碰撞后电荷量分布是qa"和qb",则qa"=qb"=0.5 C
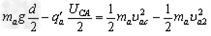
设碰后小球a速度为va2,由动能定理有
得va2=4m/s?
对小球b有:mbg=0.5 N,Fb电=qb"UCA/d=0.5 N
即mbg=Fb电,所以,小球b向上做匀速圆周运动
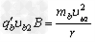
设小球b做匀速圆周运动的半径为r,则
设小球b碰后速度为vb2,则
解得r=4m,vb2=8 m/s?
(3)设碰撞前,小球a的速度设为va1,由动量守恒定律有mava1=mava2+mbvb2?
va1=8 m/s
小球a从N至P过程中,由动能定理有-μmagL1=
mava12-
mava02?
解得μ=0.36
本题解析:
本题难度:一般
5、简答题 一质量m=0.6kg的物体以v0=20m/s的初速度从倾角为30°的斜坡底端沿斜坡向上运动.当物体向上滑到某一位置时,其动能减少了△Ek=18J,机械能减少了△E=3J.不计空气阻力,重力加速度g=10m/s2,求:
(1)物体向上运动时加速度的大小;
(2)物体返回斜坡底端时的动能.
参考答案:(1)物体从开始到经过斜面上某一点时,受重力、支持力和摩擦力,
根据动能定理,有
-mg?lABsinθ-f?lAB=EKB-EKA=-18J? ①
机械能的减小量等于克服摩擦力做的功:
f?lAB=EB-EA=3J? ②
由①②可解得lAB=5m
f=0.6N
因为物体的初速度为v0=20m/s,初动能Ek0=12×0.6×202J=120J
滑上某一位置时动能减少了△Ek=18J,则此时动能Ek=102J=12mv2,可得v2=340m2/s2
物体在斜坡底端向上运动时受重力、支持力和摩擦力作用,物体做匀减速运动,根据匀变速直线运动的速度位移关系有:
a=v2-v202x=340-4002×5m/s2=-6m/s2(负号表示方向与初速度方向相反)
(2)当该物体经过斜面上某一点时,动能减少了18J,机械能减少了3J,所以当物体到达最高点时动能减少了120J,机械能减少了20J,
所以物体上升过程中克服摩擦力做功是20J,全过程摩擦力做功W=-40J?
从出发到返回底端,重力不做功,设回到出发点的动能为EK′,由动能定理可得
W=EK′-EK0?
得? EK′=80J
答:(1)物体向上运动时的加速度大小为6m/s2?
(2)物体返回斜坡底端时的动能80J.
本题解析:
本题难度:一般