高考物理知识点总结《匀变速直线运动基本公式应用》考点预测(2019年押题版)(十)

时间:2019-05-21 05:22:18

微信搜索关注"91考试网"公众号,领30元,获取事业编教师公务员等考试资料40G

1、选择题  2010年广州亚运会上中国男子运动员在4×100m接力比赛中勇夺冠军。某次甲乙两个运动员在直道上练习接力跑。他们在奔跑时有相同的最大速度。乙从静止开始全力奔跑需跑出25m才能达到最大,这一过程可以看做匀变速运动。现在甲持棒以最大速度向乙奔来,乙在接力区侍机全力奔出。若要求乙接棒时奔跑达到最大速度的80%,则乙在接力区须奔出距离是
[? ]
A.16m
B.18m
C.20m
D.25m


参考答案:A


本题解析:


本题难度:一般



2、计算题  武汉到南京的动车共3趟,每趟运行时间约3.5小时。把动力装置分散安装在每节车厢上,使其既具有牵引动力,又可以载客,这样的客车车辆叫做动车。而动车组就是几节自带动力的车辆(动车)加几节不带动力的车辆(也叫拖车)编成一组,就是动车组,假设动车组运行过程中受到的阻力与其重力成正比,每节动车与拖车的质量都相等,每节动车的额定功率都相等。
(1)若1节动车加3节拖车编成的动车组的最大速度为120 km/h;则6节动车加3节拖车编成的动车组的量大速度为多少?
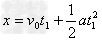
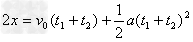
(2)若动车组在匀加速运动过程中,通过第一个50 m所用时间是10 s,通过第二个50 m所用时间是6s,则动车组的加速度为多少?


参考答案:解:(1)设每节动车的功率为P,重力为G,阻力为kG
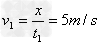
1节动车加3节拖车编成的动车组有P=F1v1
又F1=4kG
对6节动车3节拖车编成的动车组有6P=F2v2
又F2=9kG
将v1=120 km/h 代入解得v2=320 km/h
(2) 方法一:通过第一个50 m所用时间是10 s,中间时刻的速度
通过第二个50 m所用的时间是6s,中间时刻的速度
两个中间时刻的时间差为△t=8 s
加速度
方法二:动车在通过第一个50 m时有
动车在通过两个50 m时有
代入数据得a=0.42m/s2


本题解析:


本题难度:一般



3、计算题  某飞机着陆时的速度是20m/s,随后匀减速滑行,加速度大小是,求:飞机在跑道上滑行的距离和停下所用的时间?


参考答案:(1)50m?(2)5s.


本题解析:略


本题难度:简单



4、填空题  如图所示,在2010年10月1日国庆阅兵演习中,某直升飞机在地面上空某高度A位置处于静止状态待命,接上级命令,要求该机10时58分由静止状态沿水平方向做匀加速直线运动,10时58分50秒到达B位置,然后就进入BC段的匀速受阅区,10时59分40秒准时通过C位置,已知SBC=10km ,直升飞机在BC段的速度为      m/s,AB段的距离为          km


参考答案:200m/s   5km


本题解析:(1)BC段,t=50s, vm/s=200m/s
(2)tAB=50s
am/s2=4m/s2
xABa×4×502m=5000m.


本题难度:一般



5、选择题  一质点做匀加速直线运动, 第三秒内的位移2m, 第四秒内的位移是2.5m, 那么可以知道(? )
A.这两秒内平均速度是2.25m/s
B.第三秒末即时速度是2.25m/s
C.质点的加速度是0.125m/s2
D.质点的加速度是0.5m/s2


参考答案:A B D


本题解析:?; ;
可得


本题难度:一般



A man may have a just esteem of himself without being proud. 一个人虽对自己有恰当的尊敬,也无需骄傲。

首页 上页 9 10 下页 尾页 10/10/10
微信搜索关注"91考试网"公众号,领30元,获取公务员事业编教师考试资料40G
【省市县地区导航】【考试题库导航】
 ★ 高考省级导航 ★ 
全国 A安徽 B北京 C重庆 F福建 G广东 广西 甘肃 贵州 H河南 河北 湖南 湖北 黑龙江 海南 J江苏 江西 吉林 L辽宁 N内蒙古 宁夏 Q青海 S山东 山西 陕西 四川 上海 T天津 X新疆 西藏 Y云南 Z浙江
 ★ 高考信息汇总 ★ 
 ★ 高考历年真题 ★ 
 ★ 高考历年真题 ★ 
 ★ 高考题库 ★ 
 ★ 高考题库 ★ 

电脑版  |  手机版  |  返回顶部