时间:2019-05-21 04:34:21
1、计算题 如图(a),平行金属板A和B间的距离为d ,它们的右端安放着靶MN(可金属板右侧上下移动也可在纸面内转动),现在A、B板上加上如图(b)所示的方波形电压,t=0时A板比B板的电势高,电压的正向值为U0,反向值也为U0.现有由质量为m的带正电且电荷量为q的粒子组成的粒子束,从AB的中点O以平行于金属板方向OO/的速度大小为
持续不断射入,所有粒子在AB间的飞行时间均为T,且不会与金属板相碰,不计重力影响.求:
(1)金属板长度
(2)粒子飞出电场时位置离O/点的距离范围
(3)要使粒子能全部打在靶MN上,靶MN的长度至少多大?
参考答案:
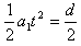
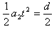
(1)金属板的长度
……………………………(1分)
(2)当粒子由
时刻进入电场,向下侧移最大,则
?…………(2分)
当粒子由
时刻进入电场,向上侧移最大,则
?……………………………………………(2分)
所以,在距离O/中点下方
至上方
范围内有粒子打出.…………(1分)
粒子在电场中运动时,加速度向下的时间是
,加速度向上的时间是
,所有粒子离开电场时都有相同的竖直方向的速度
?(2分)?设粒子离开电场时速度方向与v0的夹角为θ,则
……………(1分)
即所有的粒子平行射出电场,如下图所示,要使靶长度最小,需要将靶垂直于粒子出射方向放置……………(1分)
靶长最小值
本题解析:
略
本题难度:一般
2、计算题 如图所示,质量为5×10-8kg的带电微粒以V0=2m/s的速度从水平放置的金属板A、B的中央飞入板间,已知板长L=10cm,板间距离d=2cm。当UAB=1000V时,带电粒子恰好沿直线穿过板间,则UAB在什么范围内带电粒子能从板间飞出?(g取10m/s2)
参考答案:解:依题意当UAB=1000V时粒子做直线运动则:
=mg
设粒子飞出的时间为t,由水平方向粒子做匀速运动:L=V0t
当AB电压为U1时,粒子刚好从A板边缘飞出,则:竖直方向
1
∴U1=1800V
当AB电压为U2时,粒子刚好从B板边缘飞出,则:

∴U2=200V
所以粒子能飞出的电压范围200V~1800V
本题解析:
本题难度:困难
3、选择题 真空中存在一个水平向左的匀强电场场强大小为E,一根不可伸长的绝缘细线长度为l,细线一端拴一个质量为m、电荷量为q的带负电小球,另一端固定在O点。把小球拉到使细线水平的位置A,由静止释放,小球沿弧线运动到细线与水平方向成角
?=60°的位置B时速度为零。以下说法中正确的是?
A.小球在B位置处于平衡状态
B.小球受到的重力与电场力的关系是
C.小球将在AB之间往复运动,且幅度将逐渐减小
D.小球从A运动到B过程中,电场力对其做的功为 

参考答案:D
本题解析:A到B过程中,当处于平衡位置时速度最大,即角度达到一半时,有
,AB错误;整个过程中能量守恒,则小球将在AB之间往复运动,幅度保持不变,C错误;小球从A运动到B过程中,沿电场线方向距离为
,则电场力对其做的功为
,D正确。
本题难度:一般
4、选择题 如图为一匀强电场,某带电微粒从A点运动到B点.在这一运动过程中克服重力做的功为2.0J,电场力做的功为1.5J.则下列说法正确的是(? )
A.粒子带负电
B.粒子在A点的电势能比在B点少1.5J
C.粒子在A点的动能比在B点多0.5J
D.粒子在A点的机械能比在B点少1.5J
参考答案:CD
本题解析:考点:
专题:计算题.
分析:在由A运动B的过程中,有两个力做功,一是重力做负功,一是电场力做正功.从运动轨迹上判断,粒子带正电.从A到B的过程中,电场力做正功为1.5J,所以电势能是减少的,A点的电势能要大于B点电势能.从A到B的过程中,克服重力做功2.0J,电场力做功1.5J,由动能定理可求出动能的变化情况.从A到B的过程中,做功的力有重力和电场力,应用能量的转化与守恒可比较AB两点的机械能.
解答:解:A、由运动轨迹上来看,垂直电场方向射入的带电粒子向电场的方向偏转,说明带电粒子受到的电场力与电场方向相同,所以带电粒子应带正电.选项A错误.
B、从A到B的过程中,电场力做正功,电势能在减少,所以在A点是的电势能要大于在B点时的电势能.选项B错误.
C、从A到B的过程中,克服重力做功2.0J,电场力做功1.5J,由动能定理可知,粒子在A点的动能比在B点多0.5J,选项C正确.
D、从A到B的过程中,除了重力做功以外,还有电场力做功,电场力做正功,电势能转化为机械能,带电粒子的机械能增加,由能的转化与守恒可知,机械能的增加量等于电场力做功的多少,所以机械能增加了1.5J,选项D正确.
故选CD.
点评:对于本题,大家要明确以下几点:
1、电场力对电荷做正功时,电荷的电势能减少,电荷克服电场力做功,电荷的电势能增加,电势能变化的数值等于电场力做功的数值.这常是判断电荷电势能如何变化的依据.
2、电势能是电荷与所在的电场所共有的,且具有相对性,通常取无穷远处或大地为电势能的零点.
3、电荷在电场中移动时,电场力做的功与移动的路径无关,只取决于起止位置的电势差和电荷的电量,这一点与重力做功和高度差的关系相似.
本题难度:简单
5、计算题 喷墨打印机的结构简图如图所示,其中墨盒可以发出墨汁微滴,其半径约为10-5 m,此微滴经过带电室时被带上负电,带电的多少由计算机按字体笔画高低位置输入信号加以控制,带电后的微滴以一定的初速度进入偏转电场,带电微滴经过偏转电场发生偏转后,打到纸上,显示出字体,无信号输入时,墨汁微滴不带电,径直通过偏转板而注入回流槽流回墨盒。
设偏转板长1.6 cm,两板间的距离为0.50 cm,偏转板的右端距纸3.2 cm。若一个墨汁微滴的质量为1.6×10-10 kg,以20 m/s的初速度垂直于电场方向进入偏转电场,两偏转板间的电压是8.0×103V,若墨汁微滴打到纸上的点距原射入方向的距离是2.0mm。
(1)求这个墨汁微滴通过带电室带的电荷量是多少?(不计空气阻力和重力,可以认为偏转电场只局限在平行板电容器内部,忽略边缘电场的不均匀性)
(2)为了使纸上的字体放大10%,请你分析提出一个可行的方法。

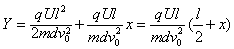
参考答案:解:(1)带电微滴电荷量为q,进入偏转电场后做类平抛运动,离开电场后沿直线打到纸上,距原入射方向的距离为
代入数据 可得q=1.25×10-13 C
(2)由上式可知,Y与U成正比,可以提高偏转板间电压到8.8×103 V,实现字体放大10%;Y与
成正比,因此也可以增加偏转板与纸的距离x,
,解得x"=3.6cm,实现放大字体10%
本题解析:
本题难度:困难