时间:2019-05-21 04:28:42
1、选择题 洛伦兹力使带电粒子在匀强磁场中做匀速圆周运动,下列各图中均标有带正电荷粒子的运动速度v,洛伦兹力F及磁场B的方向,虚线圆表示粒子的轨迹,其中可能出现的情况是( )
A.
B.
C.
D.
参考答案:A
本题解析:
本题难度:简单
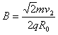
2、简答题 质量为m、电荷量为q的带负电粒子自静止开始释放,经M、N板间的电场加速后,从A点垂直于磁场边界射入宽度为d的匀强磁场中,该粒子离开磁场时的位置P偏离入射方向的距离为L,如图所示.已知M、N两板间的电压为U,粒子的重力不计.求:匀强磁场的磁感应强度B.
参考答案:作粒子经电场和磁场中的轨迹图,如图所示.设粒子在M、N两板间经电场加速后获得的速度为v,由动能定理得:
qU=12mv2…①
离子进入磁场后做匀速圆周运动,设其半径为r,则:
qvB=mv2r…②
由几何关系得:
r2=(r-L)2+d2…③
联立①②③求解得:磁感应强度:B=2LL2+d2
本题解析:
本题难度:一般
3、选择题 在匀强磁场里有一个原来静止的放射性元素
参考答案:动量P=mv,得v=pm,Ek=12mv2=p22m
衰变过程动量守恒,所以两种粒子合动量为0,动量大小相等方向相反,
所以EK:EK′=m′:m=234:4
根据动量守恒:mv=m′v′
R=mvqB,动量相同所以RR′=q′q=902=451;
两粒子带同种电荷,运动方向相反,由左手定则知安培力方向相反,故为外接圆;
故选C.
本题解析:
本题难度:一般
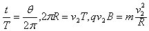
4、计算题 如图甲所示,在以O为圆心,内外半径分别为R1和R2的圆环区域内,存在辐射状电场和垂直纸面的匀强 磁场,内外圆间的电势差U为常量,R1=R0,R2=3R0。一电荷量为+q,质量为m的粒子从内圆上的A点进入该区域,不计重力。
(1)已知粒子从外圆上以速度v1射出,求粒子在A点的初速度v0的大小。
(2)若撤去电场,如图乙所示,已知粒子从OA延长线与外圆的交点C以速度V2射出,方向与OA延长线成 45°角,求磁感应强度的大小及粒子在磁场中运动的时间。
(3)在图乙中,若粒子从A点进入磁场,速度大小为v3,方向不确定,要使粒子一定能够从外圆射出,磁感应强度应小于多少? 
参考答案:解:(1)以粒子为研究对象,由动能定理:
得:
(2)设磁场的磁感应强度为B,带电粒子在磁场中做匀速圆周运动,洛伦兹力提供向心力,设圆的半径为r,有:
由几何关系得:r2+r2=(R2-R1)2
解得:
由以上两式可以解得:
根据公式
解得:
(3)粒子在磁场中做匀速圆周运动,洛伦兹力提供向心力,粒子的速度方向沿垂直于AC方向,设半径为r1,要使粒子一定能够从外圆射出,则必满足:2r1>R2+R1
由
,联立以上各式得:
比较以上两种情况,应当是第二种情况磁场最小,即
本题解析:
本题难度:困难
5、选择题 如图所示,在半径为R的圆形区域内有匀强磁场,在边长为2R的正方形区域里也有匀强磁场.两个磁场的磁感应强度大小相同,两个相同的带电粒子以相同的速率分别从M、N两点射入匀强磁场.在M点射入的带电粒子,其速度方向指向圆心;在N点射入的带电粒子,速度方向与边界垂直,且N点为正方形边长的中点,则下列说法正确的是( )
A.带电粒子在磁场中飞行的时间可能相同
B.从M点射入的带电粒子可能先飞出磁场
C.从N点射入的带电粒子可能先飞出磁场
D.从N点射入的带电粒子不可能比M点射入的带电粒子先飞出磁场
参考答案:带电粒子垂直于磁场方向进入匀强磁场,粒子做匀速圆周运动,洛伦兹力提供向心力,
由牛顿第二定律得:qvB=mv2r,解得,粒子的轨道半径:r=mvqB,两粒子相同、两粒子的速率相同,
则两粒子的轨道半径r相同,粒子做圆周运动的周期T=2πmqB相等,粒子运动轨迹如图所示;
A、由图示可知,当r=L时,两粒子在磁场中的运动时间相等,都等于14T,故A正确;
B、由图示可知,当粒子轨道半径r≠L时,粒子在圆形磁场中做圆周运动转过的圆心角都小球在正方形区域中做圆周运动转过的圆心角,
则粒子在圆形磁场中的运动时间小于在正方形磁场中的运动时间,即从M点射入的粒子运动时间小于从N点射入的粒子运动时间,故BD正确,C错误;
故选:ABD.
本题解析:
本题难度:简单