时间:2019-03-16 03:00:30
1、选择题 电子式互感器是数字变电站的关键装备之一。如图所示,某电子式电压互感器探头的原理为电阻分压,ac间的电阻是cd间电阻的(n-1)倍,某次测量中输出端数字电压表的示数为U,则输入端的电压为( )
A.
B.
C.
D.
参考答案:A
本题解析:
和
串联,电流
,对输出端电压
,即输入电压为
,对照选项A对。
考点:串并联电路
本题难度:一般
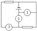
2、选择题 如图,三只电表的接法和示数都正确的,合理的示数是( )
A.①2.00V,②1.00A,③0.50A
B.①1.00V,②0.50A,③2.00V
C.①2.00V,②0.50A,③1.00A
D.①0.50A,②2.00V,③1.00A
参考答案:A
本题解析:1为并联在电源两端的电压表,所以D排除。2、3应该为安培表,否则电路无法正常运作,所以B排除。2代表干路电流,所以2的读数应该超过3,所以C排除,答案为A。
考点:电压表、电流表的正确使用
点评:本题通过电压表、电流表的接法考察了闭合电路欧姆定律。并联电路分流、串联电路分压的特点。
本题难度:一般
3、选择题 横截面直径为D,长度为L的导线,两端电压为U.当这三个量中一个改变时,对自由电子定向运动的平均速率影响正确的说法是( )
A.电压U加倍时,自由电子定向运动的平均速率不变
B.导线长度L加倍时,自由电子定向运动的平均速率不变
C.导线横截面的直径D加倍时,自由电子定向运动的平均速率不变
D.导线横截面的直径D加倍时,自由电子定向运动的平均速率加倍
参考答案:C
本题解析:
本题难度:简单
4、选择题 如图甲所示,理想变压器原、副线圈的匝数比为10:1,R1=20Ω,R2=30Ω,C为电容器.已知通过R1的正弦交流电如图乙所示,则( ? )
A.交流电的频率为0.02Hz
B.原线圈输入电压的最大值为200
V

参考答案:C
本题解析:
本题难度:一般
5、选择题 如图所示,边长为L、不可形变的正方形导线框内有半径为r的圆形磁场区域,其磁感应强度B随时间t的变化关系为B=kt(常量k>0).回路中滑动变阻器R的最大阻值为R0,滑动片P位于滑动变阻器中央,定值电阻R1=R0、R2="0.5R" 闭合开关S,电压表的示数为U,不考虑虚线MN右侧导体的感应电动势,则
A.R2两端的电压为U
参考答案:
本题解析:
本题难度:一般