高考物理知识点总结《弹力》高频试题预测(2019年最新版)(三)

时间:2019-03-16 02:52:58

微信搜索关注"91考试网"公众号,领30元,获取事业编教师公务员等考试资料40G

1、填空题  (1)关于“探究弹力和弹簧伸长关系”的实验,下列说法中正确的是______
A.本实验用悬挂钩码的方法给弹簧施加拉力,要保证弹簧位于竖直位置,待钩码平衡时再读出弹簧的长度
B.用刻度尺测量出的弹簧长度可近似认为是弹簧的伸长量
C.实验结束后作图象时,要把所有的点都连接起来,才能探索得到真实的规律
D.如果实验时没有测量弹簧的原长,用弹簧的长度lE.代替弹簧的伸长量x,作出的F-lF.图象不是一条过原点的直线
(2)为了减小本实验的误差,请提出一个合理的建议:______.


参考答案:(1)A、用悬挂钩码的方法给弹簧施加拉力,要保证弹簧位于竖直位置,使钩码的重力等于弹簧的弹力,要待钩码平衡时再读读数.故A正确.
? B、弹簧的长度不等于弹簧的伸长量.故B错误.
? C、描点作图时,将偏离比较远的点舍去,图线若为直线,大部分点应落在直线上或分居直线两侧.故C错误.
? D、根据胡克定律F=kx,x为形变量,知弹簧的弹力与形变量成正比,但是弹力与弹簧长度的关系图线不过原点.故D正确.
故选AD.
(2)为了减小误差,在选择实验器材时,应选取质量和劲度系数小的弹簧做实验;也可以用传感器采集数据后作图象.


本题解析:


本题难度:一般



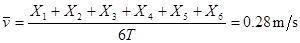
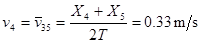
2、实验题  (9分)电磁打点计时器使用?电源,通常的工作电压为?.利用打点计时器《探究小车的速度随时间变化的规律》,如图给出了某次实验中的纸带,其中0、1、2、3、4、5、6都为计数点,每相邻两个计数点的间还有四点(未画出),电源频率50Hz.从纸带上测得:X1=1.50cm,X 2=2..00cm,X3=2.50cm,X4=3.00cm,X5=3.50cm,X6=4.00cm。(结果保留两位有效数字)

(1)通过纸带分析可知,小车的速度在?(填“增大”或“减小”)(2)每相邻两个计数点的时间间隔是?s(3) 计数点0到计数点6的平均速度是?m/s(4)计数点4的速度为?m/s(5)小车运动的加速度是?m/s2


参考答案:交流? 4~6V?(1)增大?(2)0.10s?(3)0.28m/s?(4)0.33m/s?(5)0.50m/s2


本题解析:电磁打点计时器是一种使用交流电源的计时仪器,工作电压为4~6V
(1)由于相邻计数点时间间隔相同,而相邻计数点间的距离在增大,所以小车的速度在增大
(2)由于电源频率为50Hz,所以相邻计数点时间间隔
(3)计数点0到计数点6的平均速度
(4)计数点4的速度
(5)匀变速直线运动中,任意两个连续相等时间内的位移之差都相等,即,解得


本题难度:一般



3、实验题  一游标卡尺的主尺最小分度为1mm,游标上有20个小等分间隔,用此卡尺来测量小球的直径如图所示,则其直径为 ?mm。


参考答案:小球的直径为9.00 mm。


本题解析:游标卡尺为20分度,最小刻度代表的是0.05mm,主尺读数为9mm,游标尺读数为0×0.05mm,由此可知读数为9.00 mm
点评:本题难度较小,注意游标卡尺的分度值和估读位


本题难度:简单



4、实验题  (6分)某同学在研究匀变速直线运动时,利用打点计时器打出的纸带来测量物体运动的加速度,交流电的周期为T。该同学在实验中选取一条纸带,如图所示,在纸带上取6个计数点(每2个点取一个计数点).其中1、2、3点相邻,4、5、6点相邻,在3点和4点之间还有若干个点.X1是1、3两点的距离,X3是4、6两 点的距离,X2是2、5两点的距离.

(1)测出X1、X2、X3后,则点2速度的表达式v2=?
(2)若交流电的周期为0.02 s,该同学测得?根据数据求得物体运动加速度a=?m/s2。(保留三位有效数字).


参考答案:(1)?(2) 2.50(每空3分)


本题解析:略


本题难度:简单



5、填空题  在“研究弹簧的形变量与外力的关系”实验中,将弹簧水平放置,测出其自然长度,然后竖直悬挂让其自然下垂,在其下端竖直向下施加外力F,实验过程是在弹簧的弹性限度内进行的,用记录的外力F与弹簧的形变量x作出的F-x图线如图所示.
(1)由图求出弹簧的劲度系数,即k=______N/m.
(2)图线不过原点的原因是:______.


参考答案:(1)在F--x图象中,斜率表示劲度系数,故有:k=△F△x=73.5×10-2N/m=200N/m
(2)由于弹簧自身重力引起了伸长量,故图线不过原点的原因,故填:由于弹簧自身重力引起了伸长量
故答案为:(1)200N/m;(2)由于弹簧自身重力引起了伸长量


本题解析:


本题难度:一般




首页 上页 2 3 4 下页 尾页 3/10/10
微信搜索关注"91考试网"公众号,领30元,获取公务员事业编教师考试资料40G
【省市县地区导航】【考试题库导航】
 ★ 高考省级导航 ★ 
全国 A安徽 B北京 C重庆 F福建 G广东 广西 甘肃 贵州 H河南 河北 湖南 湖北 黑龙江 海南 J江苏 江西 吉林 L辽宁 N内蒙古 宁夏 Q青海 S山东 山西 陕西 四川 上海 T天津 X新疆 西藏 Y云南 Z浙江
 ★ 高考信息汇总 ★ 
 ★ 高考历年真题 ★ 
 ★ 高考历年真题 ★ 
 ★ 高考题库 ★ 
 ★ 高考题库 ★ 

电脑版  |  手机版  |  返回顶部