高考物理高频考点《弹力》高频考点强化练习(2019年最新版)(三)

时间:2019-03-16 02:36:05

微信搜索关注"91考试网"公众号,领30元,获取事业编教师公务员等考试资料40G

1、实验题  (1)某实验小组用如图所示的装置测量弹簧的劲度系数k。当挂在弹簧下端的砝码处于静止状态时,测出弹簧受到的拉力F与对应的弹簧长度L(弹簧始终在弹性限度内),列表记录如下:



实验次数i
Fi(N)
Li(cm)
1
0.49
60.20
2
0.98
61.60
3
1.47
63.05
4
1.96
64.65
5
2.45
66.10
6
2.94
67.55
?
因为逐差法常用于处理自变量等间距变化的数据组,所以小组一成员用逐差法处理数据,具体如下:将表中第三列相邻的两项求差,得出弹簧伸长量ΔL= Li - Li-1
每个ΔL都是与相同的拉力ΔF=0.49N相对应的伸长量,求出ΔL的平均值
===cm=1.47cm
故该弹簧的劲度系数为k===0.333N/cm
该成员在实验数据处理中存在的问题是:?
请你用逐差法处理表格中的数据,尽量精确计算出弹簧的劲度系数k=?N/cm(结果保留三位有效数字)。
(2)一微安表的刻度盘只标注了表示量程Ig =100μA的刻度线,尚未标注其他分刻度线,如图所示。请用下列全部器材测量微安表的内阻:
i、图示的待测微安表:内阻Rg约为2kΩ
ii、1块毫伏表:量程250mV,最小分度5mV,内阻约为1kΩ
iii、1个滑动变阻器R1:0~50Ω
iv、1个滑动变阻器R2:0~3kΩ
v、1个直流电源E:电动势E=1.5V,内阻r约为1Ω
vi、1个单刀单掷开关S,导线若干
①在方框内画出测量微安表的内阻Rg的实验电路原理图(原理图中的元件要用相应的英文字母标注)。
②下面是主要的实验操作步骤,将所缺的内容填写在横线上方:
第一步:断开S,按电路原理图连接器材,将两个滑动变阻器R1、R2的触头分别置于合理的位置;
第二步:闭合S,分别调节R1和R2至适当位置,?
?
③用已知量和测得量的符号表示微安表的内阻Rg=??


参考答案:(1)①只利用了L1和L6两个数据,导致误差较大(或未利用L2、L3、L4、L5,导致误差较大)

②0.328
(2)①如图
②使微安表满偏,记下这时毫伏表的示数U


本题解析:若只利用了L1和L6两个数据,导致误差较大;利用逐差法处理表格中的数据,得出弹簧的劲度系数k= 0.328N/cm;根据题意,在方框内画出测量微安表的内阻Rg的实验电路原理图;闭合S,分别调节R1和R2至适当位置,闭合S,分别调节R1和R2至适当位置;利用公式Rg = ,测定内阻。


本题难度:简单



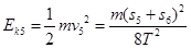
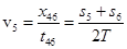
2、实验题  在“验证机械能守恒定律”的实验中,所用重物的质量为,当地的重力加速度为,打点计时器的打点时间间隔为T。某同学通过实验得到一条如图所示的纸带,纸带上的“0”点是物体刚要下落时打下的点,点“0”和“1”之间还有若干点,点“1”和点“6”之间各点为连续点,各点之间的距离如图所示。从“0”到“5”的过程中物体减小的重力势能的表达式为?,当打点“5”时物体的速度为?,这时物体动能的表达式为?


参考答案:


本题解析:根据重力势能的定义式得:
重力势能减小量
利用匀变速直线运动的推论

点评:纸带问题的处理时力学实验中常见的问题.我们可以纸带法实验中,若纸带匀变速直线运动,测得纸带上的点间距,利用匀变速直线运动的推论,可计算出打出某点时纸带运动的瞬时速度和加速度.


本题难度:一般



3、实验题  在验证机械能守恒定律实验中有如图11所示装置和打出的一条纸带:

⑴在此实验中,现提供以下器材:电火花打点计时器、低压交流电源、导线若干、纸带、带夹子的重物、天平、铁架台,其中一定用不到的器材是??。
⑵实验过程操作无误,结果仍然为△Ep?△Ek(填“等于”、“略大于”或“略小于”)。此实验的主要误差来源于?
⑶若以重锤下落的高度和当地重力加速度的乘积gh为横坐标,以为纵坐标,根据纸带上的一系列点算出相关各点的速度v,量出对应下落距离h,则在下列图象中能正确反映重锤下落过程物理关系的是 (?)


参考答案:天平; 〉; 摩擦力做功损失能量;C


本题解析:实验过程中可将m消去,故不需要天平
物体下落过程中存在阻力,重力势能没有全部转化为动能,因此重力势能的减少量略大于动能的增加量为
根据公式可得,所以图像是一条通过原点的直线,故选C
点评:关键是理解实验原理,根据实验原理分析


本题难度:一般



4、实验题  如图所示是某同学探究动能定理的实验装置. 已知重力加速度为g,不计滑轮摩擦阻力. 该同学的实验步骤如下:

a. 将长木板倾斜放置,小车放在长木板上,长木板旁放置两个光电门A和B,砂桶通过滑轮与小车相连.
b. 调整长木板倾角,使得小车恰好能在细绳的拉力作用下匀速下滑. 测得砂和砂桶的总质量为m.
c. 某时刻剪断细绳,小车由静止开始加速运动.
d. 测得挡光片通过光电门A的时间为,通过光电门B的时间为,挡光片宽度为d,小车质量为M,两个光电门A和B之间的距离为L.
e. 依据以上数据探究动能定理.
(1)根据以上步骤,你认为以下关于实验过程的表述正确的是____________.
A.实验时,先接通光电门,后剪断细绳
B.实验时,小车加速运动的合外力为
C.实验过程不需要测出斜面的倾角
D.实验时,应满足砂和砂桶的总质量m远小于小车质量M
(2)小车经过光电门A、B的瞬时速度为=___________、="____________." 如果关系式___________________________在误差允许范围内成立,就验证了动能定理.


参考答案:(1)AC(2分)?(2分)?(2分)? mgl=M()2/2-M()2/2。(2分)


本题解析:试题分析:实验时,先接通光电门,后剪短细绳,当小车恰好做匀速运动时,砂和砂桶的等于小车重力沿斜面向下分力与摩擦力之和,当剪断细绳后,小车合力大小砂等于砂和砂桶的重力大小,A、C正确。
小车经过两光电门的速度为==,若mgl=MvB2/2-MvA2/2即mgl=M()2/2-M()2/2。


本题难度:一般



5、填空题  读出图中游标卡尺(图a)(10分度)和螺旋测微器(图b)的读数:
(1)游标卡尺的读数为?mm.(2)螺旋测微器的读数为?mm.


参考答案:(1)29.8mm?(2)6.701-6.705mm


本题解析:
试题分项:(1)10分度游标卡尺的游标每一分度表示0.1mm,主尺读出整毫米数,根据游标尺上第几条刻度线与主尺对齐读出毫米的小数部分(不估读);主尺读数为:29mm,游标尺第8条刻度线与主尺对齐,读数为0.8mm,则游标卡尺的读数为29mm+0.8mm=29.8mm;
(2)螺旋测微器固定刻度每一分度表示1mm,读出毫米的整数部分(包括半毫米),毫米的小数部分由可动刻度读出(估读一位);固定刻度读数为6.5mm,可动刻度读数为(20.120.5)×0.01mm,则螺旋测微器读数为6.701-6.705mm。


本题难度:一般




首页 上页 2 3 4 下页 尾页 3/10/10
微信搜索关注"91考试网"公众号,领30元,获取公务员事业编教师考试资料40G
【省市县地区导航】【考试题库导航】
 ★ 高考省级导航 ★ 
全国 A安徽 B北京 C重庆 F福建 G广东 广西 甘肃 贵州 H河南 河北 湖南 湖北 黑龙江 海南 J江苏 江西 吉林 L辽宁 N内蒙古 宁夏 Q青海 S山东 山西 陕西 四川 上海 T天津 X新疆 西藏 Y云南 Z浙江
 ★ 高考信息汇总 ★ 
 ★ 高考历年真题 ★ 
 ★ 高考历年真题 ★ 
 ★ 高考题库 ★ 
 ★ 高考题库 ★ 

电脑版  |  手机版  |  返回顶部