时间:2019-03-15 18:29:50
1、选择题 如图所示,物块B与水平地面接触,物块A置于物块B之上,两物体相对静止,一起向右运动(图中
为加速度,力F沿水平方向向右),则
A.图甲中,A、B间摩擦力对A做正功
B.图乙中,A、B间摩擦力对B做负功
C.图丙中,A、B间摩擦力对B做负功
D.图丁中,A、B间摩擦力对A做正功
参考答案:B
本题解析:图甲中,A、B匀速运动,两物体间没有摩擦力,故摩擦力不做功,故A错误
图乙中,因为两物体具有像有的加速度,所以A受到向右的摩擦力,则B所受摩擦力向左,物体运动方向向右,故A、B间摩擦力对B做负功,所以B正确
图丙中,A受到向左的摩擦力,则B所受摩擦力向右,物体运动方向向右,A、B间摩擦力对B做正功,故C错误
图丁中,A受到向左的摩擦力,物体运动方向向右,A、B间摩擦力对A做负功,故D错误
故选B
本题难度:简单
2、计算题 研究物体的运动时,常常用到光电计时器。如图所示,当有不透光的物体通过光电门时,光电计时器就可以显示出物体的挡光时间。光滑水平导轨MN上放置两个物块A和B,左端挡板处有一弹射装置P,右端N处与水平传送带平滑连接,将两个宽度为d=3.6×10-3 m的遮光条分别安装在物块A和B上,且高出物块,并使遮光条在通过光电门时挡光。传送带水平部分的长度L=9.0m,沿逆时针方向以恒定速度v=6.0m/s匀速转动。物块B与传送带的动摩擦因数
,物块A的质量(包括遮光条)为mA=2.0 kg。开始时在A和B之间压缩一轻弹簧,锁定其处于静止状态,现解除锁定,弹开物块A和B,迅速移去轻弹簧。两物块第一次通过光电门,物块A通过计时器显示的读数t1=9.0×10-4 s,物块B通过计时器显示的读数t2=1.8×10-3 s,重力加速度g取10m/s2,试求:
(1)弹簧储存的弹性势能Ep;
(2)物块B在传送带上滑行的过程中产生的内能;
(3)若物体B返回水平面MN后与被弹射装置P弹回的A在水平面上相碰,碰撞中没有机械能损失,则弹射装置P必须对A做多少功才能让B碰后从Q端滑出。
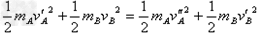
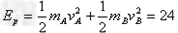
参考答案:解:(1)解除锁定,弹开物块AB后,两物体的速度大小
vA=
m/s?
vB=
m/s
由动量守恒有:mAvA=mBvB ①
得mB=4.0 kg
弹簧储存的弹性势能
J?②?
(2)B滑上传送带先向右做匀减速运动,当速度减为零时,向右滑动的距离最远
由牛顿第二定律得:
?③?
所以B的加速度:
2.0m/s2
B向右运动的距离:
1.0m<9.0米物块将返回 ④
向右运动的时间为:
.0s?⑤?
传送带向左运动的距离为:
6.0m?⑥
B相对于传送带的位移为:
?⑦?
物块B沿传送带向左返回时,所用时间仍然为t1,位移为x1
B相对于传送带的位移为:
?⑧
物块B在传送带上滑行的过程中产生的内能:
96J?⑩?
或者(物体B返回到点时所用时间t=
=2s,所以传送带移动距离为x=vt=12m)
(3) 设弹射装置给A做功为
,
?
AB碰相碰,碰前B的速度向左为
m/s ,碰后的速度设为
规定向右为正方向,根据动量守恒定律和机械能守恒定律得:
?
碰撞过程中,没有机械能损失:
?
B要滑出平台Q端,由能量关系有:
所以,由得
84J
本题解析:
本题难度:困难
3、选择题 两根相同的的绝缘轻线一端固定在O点,另一端分别连接两个完全相同的带电小球A和B,A、B之间用第三根线连接起来,如图所示.将第三根线剪断后,发现A和B两球都先向上摆动然后再向下摆动,不计空气阻力,则A和B两球在向上摆动过程中
A.所受库仑力逐渐减小
B.具有的电势能逐渐增大
C.动能不断增加
D.机械能不断增加
参考答案:AD
本题解析:将第三根线剪断后,由于AB的斥力作用,所以A和B两球都先向上摆动,此时AB受的库仑力随两者距离的增大而减小;小球的速率先增后减,然后返回向下摆动,此过程中动能先增后减,电场力做正功电势能逐渐减小,机械能逐渐增加。选项AD正确。
本题难度:一般
4、选择题
如图所示,MNPQ为在竖直面内放置的滑道,MN及PQ段光滑,长度均为h,NP段为半圆形,N、P在同一水平线上,NP段的摩擦不可忽略.滑块m位于M点由静止开始下滑,不计空气阻力,滑过NP段后刚好到达PQ的中点,则滑块m再次下滑并滑至PN段,下面判断正确的是 (? )
A.滑块m刚好到达N点
B.滑块m不能到达N点
C.滑块m能够从N点冲出
D.因NP段各处摩擦未知,上述三种情况都有可能
参考答案:C
本题解析:由于第一次可以滑到PQ中点,所以说明在NP段产生内能
,第二次滑到NP段速度减小,则向心力减小,则正压力减小,故摩擦力减小,所以产生内能减少,损失机械能减少,则滑块m能够从N点冲出
所以选择C项
本题难度:一般
5、选择题 如图所示,重10N的滑块在倾角为30°的斜面上,从a点由静止下滑,到b点接触到一个轻弹簧,滑块压缩弹簧到c点开始弹回,返回b点离开弹簧,最后又回到a点,已知,ab=1m,bc=0.2m,那么在整个过程中以下说法错误的是( )
A.滑块动能的最大值是6J
B.弹簧的弹性势能的最大值是6J
C.从c到b弹簧的弹力对滑块做的功是6J
D.整个过程物体和弹簧组成的系统机械能守恒
参考答案:A、当滑块的合力为0时,滑块速度最大,设滑块在d点合力为0,d点在b和c之间.
滑块从a到d,运用动能定理得:
mghad+W弹=EKd-0
mghad<6J,W弹<0,
所以EKd<6J,故A错误.
B、滑块从a到c,运用动能定理得:
mghac+W弹′=0-0
解得:W弹′=-6J.
弹簧弹力做的功等于弹性势能的变化,所以整个过程中弹簧弹性势能的最大值为6J.故B正确.
C、从c点到b点弹簧的弹力对滑块做功与从b点到c点弹簧的弹力对滑块做功大小相等,
根据B选项分析,故C正确.
D、整个过程中弹簧、滑块与地球组成的系统机械能守恒,没有与系统外发生能量转化,故D正确.
题目要求选错误的,故选:A.
本题解析:
本题难度:简单