时间:2019-03-15 18:18:32
1、简答题  把一小球从离地h=5m处以v=10m/s的初速度水平抛出,不计空气阻力,(g=10m/s2).求:
(1)小球落地点离抛出点的水平距离;
(2)小球落地时的速度大小.
参考答案:由h=12gt2
平抛运动的时间为t=
本题解析:
本题难度:一般
2、填空题  如图所示,某同学在研究平抛运动的实验中,在小方格纸上画出小球做平抛运动的轨迹以后,又在轨迹上取出a、b、c、d四个点(轨迹已擦去).已知小方格纸的边长L=2.5cm.g取10m/s2.请你根据小方格纸上的信息,通过分析计算完成下面几个问题:
(1)根据水平位移,求出小球平抛运动的初速度v0=_______m/s.
(2)物体运动到b点时的瞬时速度vb=______m/s;从抛出点到c点所经历的时间是______S.
(3)小球做平抛运动的抛物线轨迹方程为______.
参考答案:(1)平抛运动在竖直方向上是自由落体运动,竖直方向位移差△y=aT2=gT2,T=
本题解析:
本题难度:一般
3、计算题  水平抛出的一个石子,经过0.4 s落到地面,落地时的速度方向跟水平方向的夹角是53°,(g取10 m/s2,sin53°=0.8,cos53°=0.6)求:
(1)石子的抛出点距地面的高度;
(2) 石子抛出的水平初速度;
(3)石子落地点距抛出点的水平距离。
参考答案:(1)0.8m?(2)3m/s?(3)1.2m
本题解析:(1)由 得石子的抛出点距地面的高度
得石子的抛出点距地面的高度 ?
?
(2)由于 ,石子抛出的水平初速度
,石子抛出的水平初速度 ?
?
(3)石子落地点距抛出点的水平距离
点评:平抛运动在竖直方向上做自由落体运动,在水平方向上做匀速直线运动,分运动与合运动具有等时性;合速度和分速度关系满足平行四边形法则。
本题难度:简单
4、计算题  如图所示.在水平面上固定一个半径为R的光滑球体,球的最高点处有一个小物体,现给小物体一个水平初速度,要使物体不沿球面下滑而做平抛运动,球落地点C到A点的最小距离.
参考答案:2R
本题解析:使物体恰好不沿球面下滑而做平抛运动,在最高点时应该是物体的重力恰好作为向心力,
所以根据向心力的公式可得, ?,所以
?,所以
物体离开球面之后做平抛运动,
水平方向上: ?
?
竖直方向上:
代入数据可以求得,
落地点C到A点的最小距离为2R.
点评:物体恰好不沿球面下滑,说明在最高点时应该是物体的重力恰好作为向心力,这是解决本题的关键地方.
本题难度:一般
5、计算题  如图所示,质量为m的小物块在粗糙水平桌面上做直线运动,经距离l后以速度v飞离桌面,最终落在水平地面上。已知l=1.4m,v=3.0m/s,m=0.10kg,物块与桌面间的动摩擦因数μ=0.25,桌面高h=0.45m。不计空气阻力,重力加速度取10m/s2。求
(1)小物块落地点距飞出点的水平距离s;
(2)小物块落地时的动能EK;
(3)小物块的初速度大小v0。
参考答案:解:(1)平抛运动规律:
得 ,
,
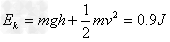
(2)机械能守恒:
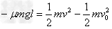
(3)动能定理:
代入数据得:
本题解析:
本题难度:一般