时间:2019-03-15 18:18:32
1、简答题  在“研究平抛运动”的实验中,为了得到平抛运动的轨迹,可以采用描迹法,也可以采用拍摄闪光照片的方法.
(1)如果采用描迹法描绘小球平抛运动的轨迹,实验时按图a安装好器材,需注意斜槽末端______,为了让小球多次重复同一平抛轨迹,每次小球需从______位置上滚下.
(2)如果采用拍摄闪光照片的方法,得到的闪光照片示意图如图b所示,照片与实际大小相比缩小到
| 1 10 | 

2、选择题  一只鸟在距水面20m的上空以5.0m/s的速度水平飞行.突然,它叼着的一条0.1kg的鱼从口中掉落.不计空气阻力,则(  )
A.鱼从脱离到落至水面所用的时间为4.0s
B.鱼从脱离到落至水面所用的时间为2.0s
C.鱼从脱离到撞击水面的过程中,水平方向的位移大小是10m
D.鱼撞击水面的速度大小是5.0m/s
3、简答题  如图所示,轨道ABCD的AB段为一半径R=0.2m的光滑1/4圆形轨道,BC段为高为h=5m的竖直轨道,CD段为水平轨道.一质量为0.1kg的小球由A点从静止开始下滑到B点时速度的大小为2m/s,离开B点做平抛运动(g=10m/s2),求:
(1)小球运动到B点时的向心加速度
(2)小球离开B点后,在CD轨道上的落地点到C的水平距离;
(3)小球到达B点时对圆形轨道的压力大小?
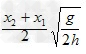
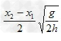
4、选择题  一名同学做平抛运动实验时,他只在纸上记下重垂线y 的方向,未在纸上记下斜槽末端位置,并只描出如图 所示的一段平抛轨迹曲线.在曲线上取A ,B?两点,用刻度尺分别量出到y 轴的距离,AA"=x1 ,BB"=x2 ,以及AB 的竖直高度h,从而可求出小球抛出的初速度v0 为
[? ]
A.
B.
C.
D.
5、选择题  关于平抛运动,下列说法中正确的是
A.平抛运动是匀速运动
B.平抛运动不是匀变速运动
C.平抛运动是匀变速曲线运动 
D.做平抛运动的物体落地时速度方向一定是竖直向下的