高中物理知识点复习《动量定理》高频考点特训(2019年必看版)(四)

时间:2019-03-15 18:13:15

微信搜索关注"91考试网"公众号,领30元,获取事业编教师公务员等考试资料40G

1、选择题  如图所示,一个物体在与水平方向成θ角的拉力F的作用下匀速前进了时间t,则(?)

A.拉力对物体的冲量为Ft
B.拉力对物体的冲量为Ftcosθ
C.摩擦力对物体的冲量为Ft
D.合外力对物体的冲量为Ft


参考答案:A


本题解析:由物体做匀速直线运动,分析物体的受力情况可知:摩擦力,
拉力对物体的冲量为I=Ft,A正确,B错误,
摩擦力对物体的冲量为:,C错误;
合力为零,所以冲量为零,D错误;故选A
点评:本题难度较小,对于恒力的冲量可以利用I=Ft求得,对于变力的冲量可以借助动量定理求解


本题难度:简单



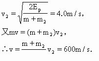
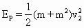
2、简答题  如图所示,固定在轻质弹簧两端,质量分别是=0.5kg,=1.49kg的两个物体,置于光滑水平面上,靠在光滑竖直墙上.现有一个m=0.01kg的子弹水平射入中(没有穿出),使弹簧压缩而具有12J的弹性势能,再后都将向右运动,试求:

(1)子弹入射前的速度v;
(2)竖直墙对的冲量.
(3)运动过程中弹簧可具有的最大弹性势能.


参考答案:
(1)600m/s?(2)12 N·s,方向水平向右(3)3J


本题解析:
(1)由

(2)I=="12" N·s,方向水平向右.


本题难度:一般



3、简答题  如图所示,两条光滑的绝缘导轨,导轨的水平部分与圆弧部分平滑连接,两导轨间距为L,导轨的水平部分有n段相同的匀强磁场区域(图中的虚线范围),磁场方向竖直向上,磁场的磁感应强度为B,磁场的宽度为S,相邻磁场区域的间距也为S,S大于L,磁场左、右两边界均与导轨垂直.现有一质量为m,电阻为r,边长为L的正方形金属框,由圆弧导轨上某高度处静止释放,金属框滑上水平导轨,在水平导轨上滑行一段时间进入磁场区域,最终线框恰好完全通过n段磁场区域.地球表面处的重力加速度为g,感应电流的磁场可以忽略不计,求:
(1)刚开始下滑时,金属框重心离水平导轨所在平面的高度.
(2)整个过程中金属框内产生的电热.
(3)金属框完全进入第k(k<n)段磁场区域前的时刻,金属框中的电功率.
91考试网


参考答案:(1)设金属框在进入第一段匀强磁场区域前的速度为v0,金属框在进入和穿出第一段匀强磁场区域的过程中,线框中产生平均感应电动势为
? .E=2BL2t
平均电流强度为(不考虑电流方向变化).I=.Er=2BL2rt
由动量定理得:
? -B.ILt=mv1-mv0
? -B2BL2rtLt=mv1-mv0
? -2B2L3r=mv1-mv0
同理可得:-2B2L3r=mv2-mv1
? -2B2L3r=mv3-mv2

整个过程累计得:-n2B2L3r=0-mv0
解得:v0=2nB2L3mr
金属框沿斜面下滑机械能守恒:mgh=12mv20
解得? h=v202g=2n2B4L6m2gr2
(2)金属框中产生的热量Q=mgh,
解得? Q=2n2B4L6mr2
(3)金属框穿过第(k-1)个磁场区域后,由动量定理得:-(k-1)2B2L3r=mvk-1-mv0
金属框完全进入第k个磁场区域的过程中,由动量定理得:-B2L3r=mvk′-mvk-1
解得:vk′=(2n-2k+1)B2L3mr
金属框中的电功率:P=(BLv/k)2r=(2n-2k+1)2B6L8m2r3
答:
(1)刚开始下滑时,金属框重心离水平导轨所在平面的高度是2n2B4L6mr2.
(2)整个过程中金属框内产生的电热是2n2B4L6mr2.
(3)金属框完全进入第k(k<n)段磁场区域前的时刻,金属框中的电功率是(2n-2k+1)2B6L8m2r3.


本题解析:


本题难度:一般



4、选择题  两辆汽车在同一水平路面上行驶,它们的质量之比为m1∶m2=1∶2,速度之比为v1∶v2=2∶1当汽车急刹车后(此时汽车轮胎与地面间存在滑动摩擦力),甲、乙两辆汽车滑行的最大距离为s1和s2,两车与路面的动摩擦因数相同,不计空气阻力,则
A.s1∶s2=4∶1
B.s1∶s2=1∶1
C.s1∶s2=2∶1
D.s1∶s2=1∶2


参考答案:A


本题解析:


本题难度:困难



5、选择题  1966年曾在地球的上空完成了以牛顿第二定律为基础的测定质量的实验。实验时,用宇宙飞船(质量为m)去接触正在轨道上运行的火箭(质量为mx,发动机已熄火),如图所示。接触以后,开动飞船尾部的推进器,使飞船和火箭共同加速,推进器的平均推力为F,开动时间Δt,测出飞船和火箭的速度变化是Δv,下列说法正确的是?

A.火箭质量应为
B.宇宙飞船的质量m应为
C.推力F越大,就越大,且F成正比
D.推力F通过飞船传递给火箭,所以飞船对火箭的弹力大小应为F


参考答案:C


本题解析:对火箭和飞船组成的整体,运用冲量定理可得,所以火箭的质量应该为,宇宙飞船的质量为所以推力F越大,就越大,且F成正比。对AB错误,C正确。对分析可得,小于推力F.所以D错误。


本题难度:简单



One flower does not make a spring. 一花独放不是春.

首页 上页 3 4 5 下页 尾页 4/10/10
微信搜索关注"91考试网"公众号,领30元,获取公务员事业编教师考试资料40G
【省市县地区导航】【考试题库导航】
 ★ 高考省级导航 ★ 
全国 A安徽 B北京 C重庆 F福建 G广东 广西 甘肃 贵州 H河南 河北 湖南 湖北 黑龙江 海南 J江苏 江西 吉林 L辽宁 N内蒙古 宁夏 Q青海 S山东 山西 陕西 四川 上海 T天津 X新疆 西藏 Y云南 Z浙江
 ★ 高考信息汇总 ★ 
 ★ 高考历年真题 ★ 
 ★ 高考历年真题 ★ 
 ★ 高考题库 ★ 
 ★ 高考题库 ★ 

电脑版  |  手机版  |  返回顶部