时间:2019-03-15 18:11:33
1、计算题  (9分) 如图所示,两块水平放置的平行金属板板长L=1.4m,板距d=30cm,两板间有B=1.25T、垂直纸面向里的匀强磁场。在两板上加如图2所示的脉动电压。在t=0时,质量m=2×10-15kg、电荷量q=1×10-10C的正离子,以速度v0=4×103m/s从两板中间水平射入,试问:
(1)试通计算说明粒子在板间做什么运动?画出其轨迹。
(2)粒子在场区运动的时间是多少?
2、计算题  如图,在宽度分别为l1和l2的两个毗邻的条形区域内分别有匀强磁场和匀强电场,磁场方向垂直于纸面向里,电场方向与电、磁场分界线平行向右。一带正电荷的粒子以速率v从磁场区域上边界的P点斜射入磁场,然后以垂直于电、磁场分界线的方向进入电场,最后从电场边界上的Q点射出。已知PQ垂直于电场方向,粒子轨迹与电、磁场分界线的交点到PQ的距离为d。不计重力,求电场强度与磁感应强度大小之比以及粒子在磁场与电场中运动时间之比。
3、计算题  扭摆器是同步辐射装置中的插入件,能使粒子的运动轨迹发生扭摆,其简化模型如图所示:I、II两处的条形匀强磁场区域的宽度分别为L1、L2,边界竖直,I区域的右边界和II区域的左边界相距L,磁感应强度大小分别为B1、B2,方向相反且垂直纸面。一质量为m、电量为-q、重力不计的粒子,从靠近平行板电容器的负极板处由静止释放,两极板间电压为U,粒子经电场加速后平行纸面射入I区域,射入时的速度方向与水平方向的夹角θ=30°。
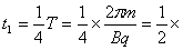
(1)当L1=L,B1=B0时,粒子从I区域右边界射出时速度与水平方向的夹角也为30°,求B0及粒子在I区域中运动的时间t1;
(2)若L2=L1=L,B2=B1=B0,求粒子在I区域中的最高点与II区域中的最低点之间的高度差h;
(3)若L2=L1=L,B1=B0,为使粒子能返回I区域,求B2应满足的条件;
(4)若L1≠L2,B1≠B2,且已保证粒子能从II区域的右边界射出,为使粒子从II区域右边界射出时速度与从I区域左边界射入时的方向总相同,求B1、B2、L1、L2之间应满足的关系式。
4、计算题  如图所示,直角坐标系xOy位于竖直平面内,在
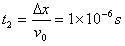
的区域内有磁感应强度大小B=4.0×10-4T、方向垂直于纸面向里的条形匀强磁场,其左边界与x轴交于P点;在x>0的区域内有电场强度大小E=4 N/C、方向沿y轴正方向的条形匀强电场,其宽度d=2 m。一质量m=6.4×10-27 kg、电荷量q=-3.2×10-9 C的带电粒子从P点以速度v=4×104m/s,沿与x轴正方向成α=60°角射入磁场,经电场偏转最终通过x轴上的Q点(图中末标出),不计粒子重力,求:
(1)带电粒子在磁场中运动时间;
(2)当电场左边界与y轴重合时Q点的横坐标; 
(3)若只改变上述电场强度的大小,要求带电粒子仍能通过Q点,讨论此电场左边界的横坐标x"与电场强度的大小E"的函数关系。 
5、选择题  如图所示为磁流体发电机的原理图:将一束等离子体喷射入磁场,在场中有两块金属板A、B,这时金属板上就会聚集电荷,产生电压。如果射入的等离子体速度均为v,两金属板的板长为L,板间距离为d,板平面的面积为S,匀强
磁场的磁感应强度为B,方向垂直于速度方向,负载电阻为R,等离子体充满两板间的空间。当发电机稳定发电时,电流表示数为I,那么板间等离子体的电阻率为
[? ]
A.
(
-R)
B.
(
-R)
C.
(
-R)
D.
(
-R)