高中物理高考知识点《粒子在复合场中运动》试题预测(2019年最新版)(六)

时间:2019-03-15 18:11:33

微信搜索关注"91考试网"公众号,领30元,获取事业编教师公务员等考试资料40G

1、计算题  (9分) 如图所示,两块水平放置的平行金属板板长L=1.4m,板距d=30cm,两板间有B=1.25T、垂直纸面向里的匀强磁场。在两板上加如图2所示的脉动电压。在t=0时,质量m=2×10-15kg、电荷量q=1×10-10C的正离子,以速度v0=4×103m/s从两板中间水平射入,试问:

(1)试通计算说明粒子在板间做什么运动?画出其轨迹。
(2)粒子在场区运动的时间是多少?


参考答案:(1)见解析 (2)6.5×10-4s


本题解析: (1)在第一个10-4s,电场、磁场同时存在,离子受电场力、洛伦兹力分别为F=qE=q=5×10-7N(方向向下)、f=Bqv=5×10-7N(方向向上),离子做匀速直线运动.位移为s=v0t=0.4m.
第二个10-4s内,只有磁场,离子做匀速圆周运动,r==6.4×10-2m<,不会碰板,T=≈1×10-4s,即正好在无电场时离子转满1周.
易知以后重复上述运动,故轨迹如图所示.

(2)因=3.5,由图可知离子在场区范围内转了3周,历时t1=3T=3×10-4s;另有做匀速运动的时间t2==3.5×10-4s.
总时间t=t1+t2=6.5×10-4s
点评:此类型的题目,综合性较强,先进行受力分析,然后判断运动,在结合牛顿运动定律分析解题,难度系数偏难


本题难度:一般



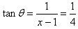
2、计算题  如图,在宽度分别为l1和l2的两个毗邻的条形区域内分别有匀强磁场和匀强电场,磁场方向垂直于纸面向里,电场方向与电、磁场分界线平行向右。一带正电荷的粒子以速率v从磁场区域上边界的P点斜射入磁场,然后以垂直于电、磁场分界线的方向进入电场,最后从电场边界上的Q点射出。已知PQ垂直于电场方向,粒子轨迹与电、磁场分界线的交点到PQ的距离为d。不计重力,求电场强度与磁感应强度大小之比以及粒子在磁场与电场中运动时间之比。


参考答案:


本题解析:本题考查带电粒子在有界磁场中的运动。


粒子在磁场中做匀速圆周运动,如图所示。由于粒子在分界线处的速度与分界线垂直。圆心O应在分界线上,OP长度即为粒子运动的圆弧的半径R.由几何关系得
………①
设粒子的质量和所带正电荷分别为m和q,由洛仑兹力公式和牛顿第二定律得

……………②

为虚线与分界线的交点,,则粒子在磁场中的运动时间为……③
式中有………④粒子进入电场后做类平抛运动,其初速度为v,方向垂直于电场.设粒子的加速度大小为a,由牛顿第二定律得…………⑤
由运动学公式有……⑥?………⑦
由①②⑤⑥⑦式得…………⑧
由①③④⑦式得


本题难度:一般



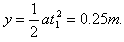
3、计算题  扭摆器是同步辐射装置中的插入件,能使粒子的运动轨迹发生扭摆,其简化模型如图所示:I、II两处的条形匀强磁场区域的宽度分别为L1、L2,边界竖直,I区域的右边界和II区域的左边界相距L,磁感应强度大小分别为B1、B2,方向相反且垂直纸面。一质量为m、电量为-q、重力不计的粒子,从靠近平行板电容器的负极板处由静止释放,两极板间电压为U,粒子经电场加速后平行纸面射入I区域,射入时的速度方向与水平方向的夹角θ=30°。
(1)当L1=L,B1=B0时,粒子从I区域右边界射出时速度与水平方向的夹角也为30°,求B0及粒子在I区域中运动的时间t1;
(2)若L2=L1=L,B2=B1=B0,求粒子在I区域中的最高点与II区域中的最低点之间的高度差h;
(3)若L2=L1=L,B1=B0,为使粒子能返回I区域,求B2应满足的条件;
(4)若L1≠L2,B1≠B2,且已保证粒子能从II区域的右边界射出,为使粒子从II区域右边界射出时速度与从I区域左边界射入时的方向总相同,求B1、B2、L1、L2之间应满足的关系式。


参考答案:(1)t1=?(2)h=h1+h2+h3=(2-)L (3)B2≥?(4)B1L1=B2L2


本题解析:(1)在电场中,由动能定理有
qU=mv02-0?………………… ①(1分)
在磁场1区域中,粒子的运动轨迹如图1所示,

由几何关系有
L=2R0sinθ?……………………… ②(1分)
由牛顿第二定律有
qv0B0=m?……………………… ③(1分)
由①②③解得:B0=?… ④(1分)
由运动学规律有
R0·2θ=v0t1?……………………… ⑤(1分)
得:t1=?…………… ⑥(1分)
(2)粒子的运动轨迹如图2所示,

由几何关系有
h1=h3=R0-R0cosθ?…………… ⑦(2分)
h2=Ltanθ?………………………… ⑧(2分)
故所求高度差
h=h1+h2+h3=(2-)L?…… ⑨(1分)
(3)粒子的运动轨迹如图3所示,

由几何关系有
L=R2+R2sinθ?………………… ⑩(2分)
由牛顿第二定律有
qv0B2=m?…………………… ⑾(1分)
由①⑩⑾解得:B2=?… ⑿(1分)
所以满足条件为B2≥?… ⒀(1分)
(4)粒子的运动轨迹如图4所示,

设粒子从I区域射出时与水平方向的夹角
为α,由几何关系有
L1=R1sinθ+R1sinα?………… ⒁(1分)
L2=R2sinθ+R2sinα?………… ⒂(1分)

L1=R1sinθ-R1sinα
L2=R2sinθ-R2sinα?
由牛顿第二定律有
qv0B1=m?………………… ⒃(1分)
qv0B2=m?………………… ⒄(1分)
由⒁⒂⒃⒄解得:B1L1=B2L2?… ⒅(2分)
本题考查带电粒子在有界磁场中的运动,难度较大,先根据电场力做功求得末速度,和几何关系求得半径,再由洛伦兹力提供向心力求得磁感强度大小,在两个磁场中由于磁场方向不同,偏转方向正好相反,先画出运动轨迹,再由几何关系求得半径大小,由洛伦兹力提供向心力列式求解


本题难度:一般



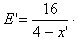
4、计算题  如图所示,直角坐标系xOy位于竖直平面内,在的区域内有磁感应强度大小B=4.0×10-4T、方向垂直于纸面向里的条形匀强磁场,其左边界与x轴交于P点;在x>0的区域内有电场强度大小E=4 N/C、方向沿y轴正方向的条形匀强电场,其宽度d=2 m。一质量m=6.4×10-27 kg、电荷量q=-3.2×10-9 C的带电粒子从P点以速度v=4×104m/s,沿与x轴正方向成α=60°角射入磁场,经电场偏转最终通过x轴上的Q点(图中末标出),不计粒子重力,求:
(1)带电粒子在磁场中运动时间;
(2)当电场左边界与y轴重合时Q点的横坐标;
(3)若只改变上述电场强度的大小,要求带电粒子仍能通过Q点,讨论此电场左边界的横坐标x"与电场强度的大小E"的函数关系。


参考答案:解:(1)带电粒子在磁场中做匀速圆周运动,洛伦兹力提供向心力,根据牛顿第二定律,有
代入数据得:r=2m
轨迹如图(a)交y轴于C点,过P点作v的垂线交y轴于O1点,由几何关系得O1为粒子运动轨迹的圆心,且圆心角为60°
在磁场中运动时间
代入数据得:t=5.23×10-5 s

(2)带电粒子离开磁场垂直进入电场后做类平抛运动
方法一:粒子在电场中加速度
运动时间
沿y方向分速度v=at1=1.0×104 m/s
沿y方向位移
粒子出电场后又经时间t2达x轴上Q点
?
故Q点的极坐标为x=d+vt2=5.0m
方法二:设带电粒子离开电场时的速度偏向角为θ,如图(a),则:
设Q点的横坐标为x,则
故x=5 m
(3)电场左边界的横坐标为x"
当0<x"<3 m时,如图(b)所示,设粒子离开电场时的速度偏向角为θ",则:

由上两式得
当3 m≤x"≤5 m时,如图(c),有
将y=1 m及各数据代入上式得
?


本题解析:


本题难度:困难



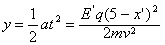
5、选择题  如图所示为磁流体发电机的原理图:将一束等离子体喷射入磁场,在场中有两块金属板AB,这时金属板上就会聚集电荷,产生电压。如果射入的等离子体速度均为v,两金属板的板长为L,板间距离为d,板平面的面积为S,匀强磁场的磁感应强度为B,方向垂直于速度方向,负载电阻为R,等离子体充满两板间的空间。当发电机稳定发电时,电流表示数为I,那么板间等离子体的电阻率为

[? ]

A.(R)
B.(R)
C.(R)
D.(R)



参考答案:A


本题解析:


本题难度:一般



Hothouse plants do not possess exuberant vitality. 温室里的花草不会有强大的生命力.

首页 上页 5 6 7 下页 尾页 6/10/10
微信搜索关注"91考试网"公众号,领30元,获取公务员事业编教师考试资料40G
【省市县地区导航】【考试题库导航】
 ★ 高考省级导航 ★ 
全国 A安徽 B北京 C重庆 F福建 G广东 广西 甘肃 贵州 H河南 河北 湖南 湖北 黑龙江 海南 J江苏 江西 吉林 L辽宁 N内蒙古 宁夏 Q青海 S山东 山西 陕西 四川 上海 T天津 X新疆 西藏 Y云南 Z浙江
 ★ 高考信息汇总 ★ 
 ★ 高考历年真题 ★ 
 ★ 高考历年真题 ★ 
 ★ 高考题库 ★ 
 ★ 高考题库 ★ 

电脑版  |  手机版  |  返回顶部