时间:2018-10-13 01:12:57
1、选择题 如右图所示,将一个矩形小线圈放在一个大匀强磁场中,线圈平面平行于磁感线,则线圈中有感应电流产生的是 (? )
A.当矩形线圈做平行于磁感线的平动
B.当矩形线圈做垂直于磁感线的平行移动
C.当矩形线圈绕AB边做转动时
D.当矩形线圈绕BC边做转动时
参考答案:C
本题解析:当闭合回路磁通量发生变化时,回路中有感应电流。C对。
本题难度:简单
2、简答题 如图2所示,水平面上固定有平行导轨,磁感应强度为B的匀强磁场方向竖直向下。同种合金做的导体棒ab、cd横截面积之比为2∶1,长度和导轨的宽均为L,ab的质量为m,电阻为r,开始时ab、cd都垂直于导轨静止,不计摩擦。现在给ab一个向右的瞬时速度v,在以后的运动中,求cd的最大加速度am是多少?
参考答案:
本题解析:
?
?
?
?
?
?
?
本题难度:一般
3、选择题 如图等腰直角三角形OPQ区域内存在匀强磁场,另有一等腰直角三角形导线框ABC以恒定的速度沿垂直于磁场方向穿过磁场,穿越过程中速度始终与AB边垂直且保持AC平行于OQ。关于线框中的感应电流,以下说法中正确的是
[? ]
A.开始进入磁场时感应电流沿顺时针方向
B.开始进入磁场时感应电流最大
C.开始穿出磁场时感应电流沿顺时针方向
D.开始穿出磁场时感应电流最大
参考答案:BC
本题解析:
本题难度:一般
4、选择题 电磁流量计广泛用于测量可导电流体(如污水)在管中的流量(单位时间内流过管内横截面的流体的体积).为了简化,假设流量计是如图所示的横截面为长方形的一段管道,其中空部分的长、宽、高分别为图中的a、c、b,流量计的两端与输送流体的管道相连接(图中虚线).图中流量计的上下两面是金属材料,前后两面是绝缘材料.现于流量计所在处加磁感应强度为B的匀强磁场,磁场方向垂直于前后两面,当导电流体稳定地流经流量计时,在管外将流量计上、下两表面分别与一串接了电阻R的电流表的两端连接.I表示测得的电流值,此时流体的电阻为r,不计电流表的内阻,则可求得流量为( )
A.I(R+r)a/B
B.I(R+r)b/B
C.I(R+r)c/B
D.I(R+r)bc/Ba
参考答案:根据欧姆定律得,电动势E=I(R+r)
根据粒子平衡得,qvB=qEb.
联立两式解得,v=EBb=I(R+r)Bb.
则流量Q=vS=vbc=I(R+r)cB.故C正确,A、B、D错误.
故选C.
本题解析:
本题难度:一般
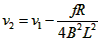
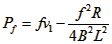
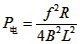
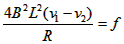
5、计算题 如图(a)所示,水平面上有两根很长的平行导轨,间距为L,导轨间有竖直方向等距离间隔的匀强磁场B1和B2,B1和B2的方向相反,大小相等,即B1=B2=B。导轨上有矩形金属框abcd,其总电阻为R,质量为m,框的宽度ab与磁场间隔相同。开始时,金属框静止不动,当两匀强磁场同时以速度v1沿直导轨匀速向左运动时,金属框也会随之开始沿直导轨运动,同时受到水平向右、大小为f的恒定阻力,并很快达到恒定速度。求:
(1)金属框所达到的恒定速度v2;
(2)金属框以恒定速度运动时,单位时间内克服阻力所做的功;
(3)当金属框达到恒定速度后,为了维持它的运动,磁场必须提供的功率;
(4)若t=0时匀强磁场B1和B2同时由静止开始沿直导轨向左做匀加速直线运动,经过较短时间后,金属框也做匀加速直线运动,其v-t关系如图(b)所示,已知在时刻t金属框的瞬时速度大小为vt,求金属框做匀加速直线运动时的加速度大小。

参考答案:解:(1)


由
?
得:
(2)

(3)

或
。
(4)
线框要做匀加速直线运动,必有为常数,线框与磁场的加速度相等?
。
本题解析:
本题难度:困难