时间:2018-10-11 01:30:14
1、选择题 粒子甲的质量与电荷量分别是粒子乙的4倍与2倍,两粒子均带正电.让它们在匀强磁场中同一点以大小相等、方向相反的速度开始运动.已知磁场方向垂直纸面向里.以下四个图中,能正确表示两粒子运动轨迹的是( )
A.
B.
C.
D.
参考答案:A
本题解析:
本题难度:简单
2、计算题 如图所示,水平面xx´上竖直放着两根两平行金属板M、N,板间距离为L=1m,两板间接一阻值为2Ω的电阻,在N板上开一小孔Q,在M、N及Q上方有向里匀强磁场B0=1T;在Nx´范围内有一450分界线连接Q和水平面,NQ与分界线间有向外的磁感应强度B=0.5T的匀强磁场;N、水平面及分界线间有竖直向上的电场;现有一质量为0.2
参考答案:
本题解析:
本题难度:困难
3、选择题 如图所示为圆柱形区域的横截面,在没有磁场的情况下,带电粒子(不计重力)以某一初速度沿截面直径方向入射,穿过此区域的时间为t,在该区域加沿轴线方向的匀强磁场,磁感应强度为B,带电粒子仍以同一初速度沿截面直径入射,粒子飞出此区域时,速度方向偏转60°角,如图所示,根据上述条件可求下列物理量中的
[? ]
A.带电粒子的比荷
B.带电粒子在磁场中运动的周期
C.带电粒子在磁场中运动的半径
D.带电粒子的初速度
参考答案:AB
本题解析:
本题难度:一般
4、计算题 如图所示,在边界AOB的上侧分布着方向垂直于纸面的匀强磁场,OE是磁场区域的对称轴。边界外有关于OE对称的C、D两点,现有两个比荷均为
的正离子同时从C点射出,分别通过M、N点同时进入磁场。已知经过M点的离子速度大小为v0,CM垂直磁场边界于M,M与O点间的距离为d,若使两离子都能到达点D,试求:
(1)磁感应强度的大小和方向;
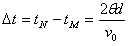
(2)设CM与CN间夹角为θ,求两离子先后到达D点的时问差△t;
(3)设CM长度为h,求边界AO与BO间的夹角α。 
参考答案:解:(1)设沿CM方向运动的离子在磁场中做圆周运动的轨道半径为R,由
,由对称性知R=d
解得
,磁场方向垂直纸面向外
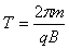
(2)时间差是在磁场中运动产生的,两离子在磁场中做匀速圆周运动的周期
设AO、BO夹角为α,分别通过MN两点的正离子在磁场中的时间分别为tM、tN

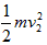
(3)设沿CN运动的离子速度大小为v,存磁场中的轨道半径为R",两离子在磁场外运动时间相同,即两离子沿CM方向分速度相等vcosθ=
由几何关系得
解得
本题解析:
本题难度:困难
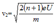
5、计算题 串列加速器是用来产生高能离子的装置,图中虚线框内为其主体的原理示意图,其中加速管的中部b处有很高的正电势U,a、c两端均有电极接地(电势为零)。现将速度很低的负一价碳离子从a端输入,当离子到达b处时,可被设在b处的特殊装置将其电子剥离,成为n价正离子,而不改变其速度大小。这些正n价碳离子从c端飞出后进入一与其速度方向垂直的、磁感强度为B的匀强磁场中,在磁场中做半径为R的圆周运动,已知碳离子的质量m=2.0×10-26㎏,U=7.5×105V,B=0.50T,n=2,基元电荷e=1.6×10-19C ,求R。 
参考答案:解:eU=?
?,n eU=
-eU,(n+1)eu= 

R=
=
=
=0.75m
本题解析:
本题难度:一般