时间:2018-10-11 00:39:59
1、计算题 内壁光滑的导热气缸竖直放置,用不计质量的活塞封闭了一定质量的理想气体,活塞上物了质量m=0.5kg的沙子,整个装置放在t=-23℃的恒温环境中,此时气体的体积为V1=5.0×10-4m3,再将温度缓慢的调到t2=27℃,并保持不变。此时体积变为V2,然后在t2=27℃的环境中,缓慢将活塞上方的沙子移除,气体的体积将变为V3。已知活塞面积S=1.0×10-4m2。大气压强P0=1.0×105Pa,g取10m/s2。求:
①当t2=27℃时气体的体积V2;
②气缸内气体的最终体积V3(结果保留两位有效数字)
参考答案:①
②
本题解析:①气体由
变为
时,由题意得:
初状态:
;末状态;
,
根据盖吕萨克定律:
,得:
②由
到
时经历等温变化,由题意得:
初状态:
,
,末状态:
,
根据玻意耳定律得:
,
解得:
.
本题难度:一般
2、计算题 体积为V=100cm3的空心球带有一根有刻度的均匀长管,管上共有N=101个刻度,设长管与球连接处为第一个刻度,以后顺序往上排列,相邻两刻度间管的容积为0.2cm3,水银液滴将球内空气与大气隔开,如图所示,当温度t=5℃时,水银液滴在刻度n=21的地方。那么在此大气压下,能否用此装置测量温度?说明理由,若能,求其测量范围。(不计热膨胀)

参考答案:解:能。因为管口和大气相通,所以球内气体的体积随温度的升高而膨胀,气体是等压变化,根据盖-吕萨克定律:
=恒量
温度的增加与体积的增加成正比,所以可以用来测量温度
测量温度的范围应该为气体的体积从V1=100cm3,等压变化到V2=(100+100×0.2)cm3=120cm3,这个范围所对应的气体温度为T1~T2,由题意知T0=(273+5)K=278K时,气体的体积V0=(100+20×0.2)cm3=104cm3
根据盖-吕萨克定律:
,所以
,所以
而267.3K=-5.7℃,320. 8K=47.8℃
所以能测量温度的范围是-5.7℃~47.8℃
本题解析:
本题难度:一般
3、计算题 【选修3-3选做题】
如图所示,竖直放置的圆筒形注射器,活塞上端接有气压表,能够方便测出所封闭理想气体的压强.开始时,活塞处于静止状态,此时气体体积为30cm3,气压表读数为1.l×105Pa.若用力向下推动活塞,使活塞缓慢向下移动一段距离,稳定后气压表读数为2.2×105Pa.不计活塞与气缸内壁间的摩擦,环境温度保持不变
(1)简要说明活塞移动过程中,被封闭气体的吸放热情况;
(2)求活塞稳定后气体的体积.
参考答案:解:(1)理想气体温度不变,内能不变,体积减小,外界对气体做功,根据热力学第一定律知,气体放热
(2)根据玻意耳定律:
?
活塞移动后气体的体积为:
本题解析:
本题难度:一般
4、选择题 民间常用“拔火罐”来治疗某些疾病,方法是将点燃的纸片放入一个小罐内,当纸片燃烧完时,迅速将火罐开口端紧压在皮肤上,火罐就会紧紧地被“吸”在皮肤上。其原因是,当火罐内的气体
A.温度不变时,体积减小,压强增大
B.体积不变时,温度降低,压强减小
C.压强不变时,温度降低,体积减小
D.质量不变时,压强增大,体积减小
参考答案:B
本题解析:把罐扣在皮肤上,罐内空气的体积等于火罐的容积,体积不变,气体经过热传递,温度不断降低,气体发生等容变化,由查理定律可知,气体压强减小,火罐内气体压强小于外界大气压,大气压就将罐紧紧地压在皮肤上.故选B.
考点:查理定律。
本题难度:一般
5、作图题 一根长为约30cm、管内载面积为S=5.0×10-6 m2的玻璃管下端有一个球形小容器,管内有一段长约1cm的水银柱。现在需要用比较准确的方法测定球形小容器的容积V。可用的器材有:刻度尺(量程500mm)、温度计(测量范围0-100℃)、玻璃容器(高约30cm,直径约10cm)、足够多的沸水和冷水。
(1)简要写出实验步骤及需要测量的物理量;
(2)说明如何根据所测得的物理量得出实验结果。
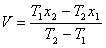
参考答案:(1)将水银柱以下的玻璃浸没在水中,改变水温,用温度计测得若干组(或两组)不同水温(即气体温度)T和气柱长度x的值
(2)方法一:气体作等压变化
,即
,作
图,截距的绝对值即为V
方法二:测两组数据
,可解得S
本题解析:
本题难度:困难