时间:2018-10-11 00:09:08
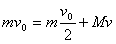
1、简答题 A、B两个粒子都带正电,B的电荷量是A的两倍,B的质量是A的四倍,A以已知速度v向静止的B粒子飞去.由于库仑斥力,他们之间的距离缩短到某一极限后又被弹开,然后各自以新的速度做匀速直线运动.设作用前后他们的轨迹都在同一直线上,试计算当A、B之间的距离最近时各自的速度?
参考答案:当A、B之间距离最短时它们的速度相等,设A初速度的方向为正方向,根据动量守恒定律,有:
mAvA=(mA+mB)v′
得:v′=mAmA+mBv=v5
答:当A、B之间距离最短时它们速度相等,都为v5.
本题解析:
本题难度:一般
2、选择题 (2011年厦门质检)质量为M的木块在光滑水平面上以速率v1向右运动,质量为m的子弹以速率v2水平向左射入木块,假设子弹射入木块后均未穿出,且在第N颗子弹射入后,木块恰好停下来,则N为( )
A.
B.
C.
D.
参考答案:C
本题解析:选C.木块和子弹组成的系统动量守恒,Mv1+Nmv2=(M+Nm)v=0,所以N=
.
本题难度:一般
3、计算题 如图,一质量为M的物块静止在光滑水平桌面的边缘,桌面离水平面的高度为h,一质量为m的子弹以水平速度v0射入物块后,以水平速度v0/2射出,重力加速度为g。已知M=3m,求 :
(1)此过程中系统损失的机械能;
(2)此后物块落地点离桌面边缘的水平距离。 
参考答案:
解:(1)设子弹穿过物块后物块的速度为V,由动量守恒得
解得
系统的机械能损失为
解得
(2)设物体下落到地面所需时间为t,落地点距桌面边缘的水平距离为s,则
?
解得
本题解析:
本题难度:一般
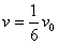
4、选择题 质量为M的小车以速度v0在光滑水平面上匀速运动,车上另有两个质量皆为m的小球a和b。现分别将小球a和b沿水平方向以速率v(相对地面)向前和向后抛出。抛出两小球后小车的速度是?
A.0
B.v0
C.
D.
参考答案:D
本题解析:考点:
专题:动量和能量的综合.
分析:车以及小球在水平方向动量守恒,根据动量守恒列方程求解即可.
解答:解:设抛出后小车速度为v′,根据水平方向动量守恒可得:
(M+2m)v0= Mv′
解得:v′=
,故ABC错误,D正确.
故选D.
点评: 本题考查了动量守恒定律的应用,应用时注意:正确选取研究对象,明确公式中各物理量含义.
本题难度:一般
5、简答题 试在下述简化情况下,由牛顿定律和运动学公式导出动量守恒定律的表达式:系统是两个质点,相互作用力是恒力,不受其他力,沿直线运动,要求说明推导过程中每步的根据,以及公式中各符号和最后结果中各项的意义。
参考答案:设
和
分别表示两质点的质量,F1和F2分别表示它们所受作用力,
分别表示它们的加速度,
分别表示F1和F2作用的时间,
分别表示它们相互作用过程中的初速度,
分别表示末速度,根据牛顿第二定律,
有:
,
由加速度的定义可知:
,
分别代入上式,可得:
,
根据牛顿第三定律,有
,
代入并整理后,最终可得:
其中
为两质点的初动量,
为两质点的末动量,这就是动量守恒定律的表达式。
本题解析:本题是一道推导证明题。首先要对所引用字母符号的物理意义加以具体说明,在推导过程中每一步都要针对性的给出依据、说明理由,最后按题目要求用文字说出最后结果中各项的意义。因此,在学习物理概念和规律时不能只记结论,还须弄清其中的道理,知道物理概念和规律的由来。
本题难度:一般