高考物理答题模板《粒子在复合场中运动》高频考点巩固(2018年最新版)(七)

时间:2018-10-11 00:00:28

微信搜索关注"91考试网"公众号,领30元,获取事业编教师公务员等考试资料40G

1、选择题  如图所示,空间存在着由匀强磁场B和匀强电场E组成的正交电磁场,电场方向水平向左,磁场方向垂直纸面向里.有一带负电荷的小球P,从正交电磁场上方的某处自由落下,那么带电小球在通过正交电磁场时(  )
A.一定作曲线运动
B.不可能作曲线运动
C.可能作匀速直线运动
D.可能作匀加速直线运动



参考答案:小球进入两个极板之间时,受到向下的重力,水平向右的电场力和水平向左的洛伦兹力,若电场力与洛伦兹力受力平衡,由于重力的作用,小球向下加速,速度变大,洛伦兹力变大,洛伦兹力不会一直与电场力平衡,故合力一定会与速度不共线,故小球一定做曲线运动;故A正确,B错误;
在下落过程中,重力与电场力不变,但洛伦兹力变化,导致合力也变化,则做变加速曲线运动.故CD均错误;
故选A.


本题解析:


本题难度:一般



2、选择题  如图所示,空间存在相互垂直的匀强电场和匀强磁场,电场的方向竖直向下,磁场方向水平(图中垂直纸面向里),一带电油滴P恰好处于静止状态,则下列说法正确的是

[? ]
A.若仅撤去电场,P可能做匀加速直线运动
B.若仅撤去磁场,P可能做匀速直线运动
C.若给P一初速度,P不可能做匀速直线运动
D.若给P一初速度,P可能做匀速圆周运动


参考答案:BD


本题解析:


本题难度:一般



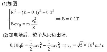
3、简答题  如图,一正方形区域abcd内有垂直于纸面向里的匀强磁场,正方形边长0.20m,有一带电粒子从ab边的中点e处沿纸面垂直于ab、以v0=1.0×m/s的速度射入磁场,带电粒子质量m=2.0×kg,所带电量q=-8.0×C,粒子恰从c处射出磁场,求该磁场的磁感强度.若在该区域再平行于ab加一向左的匀强电场,电场强度E=5.0×V/m,上述从e处射入的粒子当离开该区域时,速度有多大?(粒子重力忽略不计)


参考答案:(1)?(2)


本题解析:


本题难度:一般



4、计算题  如图甲所示,建立x0y坐标系,两平行极板P、Q垂直于y轴且关于x轴对称,极板长度和板间距均为L,第Ⅰ、Ⅳ象限分布着匀强磁场,方向垂直于x0y平面向里。位于极板左侧的粒子源可沿x轴向右发射质量为m、电量为q、速度相同、重力不计的带正电粒子。在0~3t0时间内两极板所加电压如图乙所示。已知,若粒子在t=0时刻射入,将恰好在t0时刻经极板边缘射入磁场。上述m、q、L、t0为已知量,且忽略粒子间的相互影响。求:

(1)电压U0的大小;
(2)匀强磁场的磁感应强度B;
(3)0~3t0时间内何时射入的粒子在磁场中运动的时间最短,并求出此最短时间。


参考答案:(1)(2)(3)


本题解析:(1)根据t=0时刻进入两板间的带电粒子恰好在t0时刻经极板边缘射出,则解得
(2)水平方向,竖直方向;解得?则
所以速度偏转角为
由几何关系可知?,


(3)时刻进入两板间的带电粒子(运动轨迹如图)在磁场中的运动时间最短。
?


本题难度:一般



5、选择题  一个带电粒子穿过某一空间而未发生偏转,则下列说法中正确的是
A.此空间一定不存在磁场
B.此空间可能有磁场,方向与电子的速度方向平行
C.此空间可能有磁场,方向与电子的速度方向垂直
D.此空间可能有正交的匀强电场和匀强磁场,它们的方向均与电子的速度方向垂直


参考答案:BD


本题解析:


本题难度:一般



Ninety-li is only half of a hundred-li journey. 行百里者半九十.

首页 上页 6 7 8 下页 尾页 7/10/10
微信搜索关注"91考试网"公众号,领30元,获取公务员事业编教师考试资料40G
【省市县地区导航】【考试题库导航】
 ★ 高考省级导航 ★ 
全国 A安徽 B北京 C重庆 F福建 G广东 广西 甘肃 贵州 H河南 河北 湖南 湖北 黑龙江 海南 J江苏 江西 吉林 L辽宁 N内蒙古 宁夏 Q青海 S山东 山西 陕西 四川 上海 T天津 X新疆 西藏 Y云南 Z浙江
 ★ 高考信息汇总 ★ 
 ★ 高考历年真题 ★ 
 ★ 高考历年真题 ★ 
 ★ 高考题库 ★ 
 ★ 高考题库 ★ 

电脑版  |  手机版  |  返回顶部