时间:2018-10-02 05:20:32
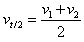
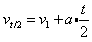
1、计算题 做匀加速直线运动的物体,在某一时间t内,速度由v1变为v2,请用速度公式推导:
,
为物体在这段时间中点时刻的速度。
参考答案:解:由
知
①
?②
即
③
①+③得
即
本题解析:
本题难度:一般
2、选择题 自由下落的物体第n秒内通过的位移比第(n-1)秒内通过的位移多多少(g取10 m/s2)( ).
A.10 m
B.5(2n+1) m
C.3(n+1) m
D.
m
参考答案:A
本题解析:自由落体运动是特殊的运变速直线运动,而匀变速直线运动过程中物体在相等时间内走过的位移差是一个定值,即
得
故A正确。
考点:考查了自由落体运动
本题难度:一般
3、选择题 做匀减速直线运动的物体经过4s后停止,若在第1s内的位移是21m,则最后1s的位移是:
A.5m
B.3m
C.2m
D.1m
参考答案:B
本题解析:因为匀加速直线运动和匀减速直线运动互为逆运动,所以可以用逆向思维,把物体的运动看成匀加速直线运动,从题中可得初速度为:
,则物体在第1s,第2s,第3s,第4s,第5s内的位移之比为:
,所以
,故可得
,B正确;
本题难度:简单
4、选择题 物体从静止开始做匀加速直线运动,已知第2s内位移为x,则物体运动的加速度大小为( )
A.
| 2 x |
| x 2 |
| 3x 2 |
| 2x 3 |
参考答案:设物体的加速度为a,
由速度公式可得物体在第1s末的速度为V=at=a×1=a,
由物体的位移公式可得第2s内的位移为x=Vt+12at2=a+12a=32a,
所以加速度的大小为a=23x,
故选D.
本题解析:
本题难度:简单
5、选择题 一个做初速度为零的匀加速直线运动的物体,它在第1 s末,第2 s末,第3 s末的瞬时速度之比是( )
A.1∶1∶1
B.1∶2∶3
C.12∶22∶32
D.1∶3∶5
参考答案:B
本题解析::选B.由v=at得v1∶v2∶v3=at1∶at2∶at3=1∶2∶3,故选项B正确.
本题难度:简单