时间:2018-10-02 05:20:32
1、实验题 做匀加速运动的列车出站时,车头经过站台某点O时的速度是1 m/s,车尾经过O点时的速度是7 m/s,则这列车中点经过O点时的速度为____________.
参考答案:5 m/s
本题解析:设车头经过O点的速度为v1,列车中点经过O点的速度为v2,车尾经过O点的速度为v3.由vt2-v02=2as得 v22-v02=2as,v32-v22=2as得v2="5" m/s.
本题难度:简单
2、选择题 如图所示,一物体以沿斜面向上的速度从A点沿光滑斜面上滑,最远可达C点,B为AC的中点,已知物体从A到B所用的时间为t,则( )
A.物体从B到C用时间为
| 2 |
| 2 |

参考答案:由于物体是在光滑的斜面上运动,上升和下降的过程中物体的加速度的大小不变,
根据对称性可知,上升和下降的时间相同,在由匀加速直线运动的规律,经过相同位移的时间之比为1:(
本题解析:
本题难度:一般
3、填空题 、作匀加速直线运动的火车,车头通过路基旁某电线杆时的速度是v1,车尾通过该电线杆时的速度是v2,那么,火车中心位置经过此电线杆时的速度为?。
参考答案:
本题解析:
分析:对火车通过的全过程及从从头到火车的中点通过该路标的过程运用匀加速直线运动位移-速度公式即可求解.
解:设火车长为x,加速度为a,则有:
2ax=v22-v12①
火车的中点通过该路标时,火车运动的位移为
,则有:
2a
=v
2-v12②
由①②得:
v
=
本题难度:简单
4、选择题 一同学在使用打点计时器时,纸带上的点不是圆点而是一些短线,其可能的原因是(?)
A.接在直流电源上
B.电源电压不稳
C.电源频率不稳
D.打点针压得过紧
参考答案:D
本题解析:若打点计时器接在直流电源上,打点计时器不打点,A错.点痕的轻重和电源电压不稳有关,但电源电压不稳不会导致短线,B错.电源频率不稳,不会造成短线,C错.打点针压得过紧,振针和纸带接触时间过长,可能造成短线,D对.
本题难度:简单
5、计算题 一物体以初速度v1做匀变速直线运动,经时间t速度变为v2,求:
(1)物体在时间t内的位移;
(2)物体在中间时刻的速度vt/2和中间位置的速度vx/2;
(3)比较vt/2和vx/2的大小。
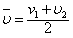
参考答案:解:(1)物体做匀变速直线运动,在时间t内的平均速度
则物体在时间t内的位移x=
t=
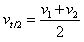
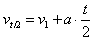
(2)物体在中间时刻的速度
,v2=v1+at,故
物体在中间位置的速度为vx/2,则vx/22-v12=2a
,v22-v12=2ax,解得
(3)由于
,因此vt/2<vx/2
本题解析:
本题难度:一般