时间:2018-10-02 04:02:46
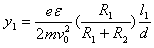
1、计算题 图1中B为电源,电动势
,内阻不计。固定电阻
,R2为光敏电阻。C为平行板电容器,虚线到两极板距离相等,极板长
,两极板的间距
。S为屏,与极板垂直,到极板的距离
。P为一圆盘,由形状相同、透光率不同的三个扇形a、b和c构成,它可绕
轴转动。当细光束通过扇形a、b、c照射光敏电阻R2时,R2的阻值分别为1000Ω、2000Ω、4500Ω。有一细电子束沿图中虚线以速度
连续不断地射入C。已知电子电量
,电子,电子质量
。忽略细光束的宽度、电容器的充电放电时间及电子所受的重力。假设照在R2上的光强发生变化时R2阻值立即有相应的改变。(无法处理)
(1)设圆盘不转动,细光束通过b照射到R2上,求电子到达屏S上时,它离O点的距离y。(计算结果保留二位有效数字)。
(2)设转盘按图1中箭头方向匀速转动,每3秒转一圈。取光束照在a、b分界处时t=0,试在图2给出的坐标纸上,画出电子到达屏S上时,它离O点的距离y随时间t的变化图线(0-6s间)。要求在y轴上标出图线最高点与最低点的值。(不要求写出计算过程,只按画出的图线评分。)


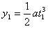
参考答案:解:(1)设电容器C两析间的电压为U,电场强度大小为E,电子在极板间穿行时y方向上的加速度大小为a,穿过C的时间为t1,穿出时电子偏转的距离为y1
?①,
②,eE=ma ③,
④,
⑤
由以上各式得
⑥
代入数据得
⑦
由此可见
,电子可通过C
设电子从C穿出时,沿y方向的速度为v,穿出后到达屏S所经历的时间为t2,在此时间内电子在y方向移动的距离为y2
v1=at1 ⑧,
⑨,y2=v1t2 ⑩
由以上有关各式得
代入数据得y2=1.92×10-2 m
由题意y=y1+y2=2.4×10-2 m?
(2)图“略”
本题解析:
本题难度:困难
2、计算题 如图所示的示波管,电子由阴极K发射后,初速度可以忽略.经加速后水平经A板小孔,沿M、N两极板中线飞入偏转电场,最后打在荧光屏上的P点,已知加速电压为U1=2U.电源电动势E=U.内电阻r=0.R1=R,滑动变阻器的总电阻R2=R滑片位于中间位置,两偏转极板间距为L,板长为2L.从偏转极板的右端到荧光屏的距离为L,O点为两极板中线与荧光屏的交点.求:
(1)偏转电极MN间的电势差U2
(2)电子打在荧光屏上的偏距OP
参考答案:(1)
;(2)
本题解析:
试题分析:(1)由闭合电路欧姆定律:I=
=
,偏转电极MN间的电势差U2=IR2/2=
(2)在加速电场中,由动能定理:eU1=
解得 v0=
=
电子在偏转电场中的运动,设偏转距离为y
在进入偏转电场的初速度方向:2L=v0t
在电场力方向:y=
=
=
;由相似三角形可知
,得
=
本题难度:一般
3、选择题 一个带电小球所带电荷量为q,则q可能是
A.3×10-29 C
B.16×10-17 C
C.0.8×10-19 C
D.9×10-19 C
参考答案:B
本题解析:
本题难度:困难
4、选择题 如图所示,平行实线代表电场线,方向未知,带电量为1×10-2C的正电荷在电场中只受电场力作用。该电荷由A点移到B点,动能损失了0.1J,若A点电势为-10V,则:
A.B点的电势为零
B.电场线方向向左
C.电荷运动的轨迹可能是图中曲线①
D.电荷运动的轨迹可能是图中曲线②
参考答案:ABC
本题解析:
分析:由带电微粒的动能变化确定在A、B两点的电势能的大小关系,判断出A、B两点电势的高低.根据沿电场线方向电势是降低的,得出电场线的方向.由运动方向和所受电场力的方向判断微粒的运动轨迹.
解答:解:由动能定理可知WE=△E
=-0.1J;
可知粒子受到的电场力做负功,故粒子电势能增加,B点的电势高于A点电势;而电场线由高电势指向低电势,故电场线向左,故B正确;
AB两点的电势差U
=
=-10V,则U
-U
=10V
解得U
=0V;故A正确;
若粒子沿轨迹1运动,A点速度沿切线方向向右,受力向左,故粒子将向上偏转,故C正确;
若粒子沿轨迹2运动,A点速度沿切线方向向右上,而受力向左,故粒子将向左上偏转,故D错误;
故选ABC.
点评:物体做由线运动时,运动的轨迹应夹在初始速度及合外力方向的中间;
本题难度:简单
5、选择题 关于摩擦起电和感应起电的实质,下列说法中正确的是
A.摩擦起电说明电荷可以从一个物体转移到另一个物体
B.摩擦起电现象说明机械能可以转化为电能,也说明通过做功可以创造出电荷
C.感应起电说明不接触就能产生电荷
D.感应起电说明电荷可以从带电的物体转移到原来不带电的物体
参考答案:A
本题解析:摩擦起电的实质是电子从一个物体转移到了另一个物体,电荷的总量是守恒的,A对,B错;感应起电的实质是电子从物体的一部分转移到另一部分,在感应起电的过程中两物体不需要接触,CD错
点评:本题比较简单,要求学生要知道摩擦起电和感应起电的实质。
本题难度:简单