时间:2018-10-01 02:02:49
1、计算题 (18分)“要打战必打胜战”,我人民海军为此进行登陆演练,假设一艘战舰因吨位大吃水太深,只能停锚在离海岸登陆点x=1 km处.登陆队员需要从较高的军舰甲板上,利用绳索下滑到登陆快艇上再行登陆接近目标,若绳索两端固定好后,与竖直方向的夹角θ=37°,为保证行动最快,队员甲先匀加速滑到某最大速度,再靠摩擦匀减速滑至快艇,速度刚好为零,在队员甲开始下滑时,队员乙在甲板上同时开始向快艇以速度
平抛救生圈,第一个刚落到快艇,接着抛第二个,结果第二个救生圈刚好与甲队员同时抵达快艇(快艇可视为质点),若人的质量m,重力加速度g=10 m/s2,问:
(1)军舰甲板到快艇的竖直高度H为多少?
队员甲在绳索上运动的时间t0为多少?
(2)若加速过程与减速过程中的加速度大小相等,则队员甲在何处速度最大?最大速度多大?
(3)若登陆艇额定功率5 kW,载人后连同装备总质量为103 kg,从静止开始以最大功率向登陆点加速靠近,到达岸边时刚好能达到最大速度10 m/s,若登陆舰前进时阻力恒定,则登陆艇运动的时间t′为多少?
参考答案:(1)H=16m
(2)绳索中点处速度最大
(3)t′=108.8 s.
本题解析:
(1)设救生圈平抛运动的时间为t,由平抛运动规律有
H=gt2,Htanθ=v0t. (2分)
设人下滑的时间为t0,由题意可知t0=2t. (2分)
联立以上各式得:H=16m,
(2分)
(2)因加速过程与减速过程的加速度相等,所以甲在绳索中点处速度最大 (2分)
由几何关系得:绳索长L=H/cos370=20 m,
由vmt×2=L, (2分)
得
. (2分)
(3)加速过程有Pt′-f(x-Htanθ)=Mv, (2分)
加速到匀速时vm=, (2分)
联立两式解得t′=108.8 s. (2分)
考点:本题考查平抛运动、动能定理
本题难度:困难
2、选择题 物体做平抛运动时,描述物体在竖直方向的分速度υy(取向下为正)随时间变化的图线是图中的( )
A.
B.
C.
D.
参考答案:物体做平抛运动时,在竖直方向做自由落体运动,故其竖直方向速度-时间图象为一条通过原点的倾斜直线.
故选D.
本题解析:
本题难度:简单
3、填空题 如图5所示的曲线是一同学做“研究平抛物体的运动”实验时画出的小球做平抛运动的部分轨迹,他在运动轨迹上任取水平位移相等的A、B、C三点,测得△s=0.2m,又测得竖直高度分别为h1=0.1m,h2=0.2m,根据以上数据,可求出小球抛出时的初速度为________________m/s。(取重力加速度
).
参考答案:2
本题解析:略
本题难度:简单
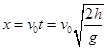
4、填空题 如图所示,地面上有一高h=3.75m的平台,平台下有一倾角可调的挡板,挡板的一端与平台边缘A点的正下方B点重合.将一个可视为质点的小球以v=5m/s的速度水平推出.小球下落过程中所受空气阻力忽略不计.适当调节挡板的倾角θ,小球会刚好垂直撞在挡板上,则小球运动时间t=______s,挡板倾角θ=______.(g取10m/s2)
参考答案:假设时间为t到达挡板,那么此时对于水平方向:x=vt=5t?
? 竖直方向:h=12gt2+xtanθ?
为了使小球能够垂直到达挡板那么水平速度与竖直速度必须满足:tanθ=vvy=vgt
联立解得t=0.5s?
则 tanθ=1? 所以θ=45°
故答案为:0.5,45°.
本题解析:
本题难度:一般
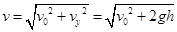
5、填空题 一小球从距水平地面高h处,以初速度v0水平抛出,重力加速度为g。小球在空中运动的时间t =?;小球落地点与抛出点之间水平方向的距离s=?,小球落地前瞬间的速度大小v=?。
参考答案:
?
?
本题解析:平抛运动在竖直方向是自由落体运动,所以有
,带入可得
,水平方向为匀速直线运动,
,落地的速度是两个方向速度的矢量和,一个是自由落体运动末速度
,另外一个是水平方向速度
,所以末速度为
本题难度:一般