时间:2018-10-01 01:02:52
1、选择题 下列说法中,正确的是( )
A.电场中电场强度越大的地方,电势就越高;
B.磁感应强度的方向与磁场中通电直导线所受安培力方向相同;
C.由定义式B=F/IL可知,电流I越大,导线长度L越长,则该处的磁感应强度越小;
D.当穿过线圈的磁通量为零时,线圈中仍可能产生感应电动势。
参考答案: D
本题解析:
试题分析:电场中电场强度越大的地方,电势可能越低的,如负电荷形成的电场,故A错误;磁感应强度的方向与磁场中通电直导线所受安培力方向垂直,故B错误;磁感应强度是由磁场本身决定的,与电流I,导线长度L无关,故C错误;根据法拉第电磁感应定律,当穿过线圈的磁通量为零时,线圈中仍可能产生感应电动势,故D正确。
考点: 电场;磁场;电磁感应
本题难度:一般
2、选择题 如图是某个磁场的磁感线分布,则A点和B点的磁感应强度的大小关系是( ? )

参考答案:A
本题解析:
本题难度:简单
3、选择题 关于磁场说法正确的是(?)
A.地理的北极就是地磁场的北极
B.安培发现了电流的磁效应
C.磁场是客观存在的,但是磁感线是人们假想出来的
D.某点磁场的方向与小磁针静止时S极的指向相同
参考答案:C
本题解析:地理的北极在地磁的南极附近,A错;奥斯特发现了电流的磁效应,B错;磁场是客观存在的,但是磁感线是人们假想出来的,C对;某点磁场的方向与小磁针静止时N极的指向相同,D错;
点评:对物理常识问题要能够记忆和理解,对物理史实要注意积累,对与地磁场的分布能够建立立体的模型,磁场的方向是认为规定的,要牢记
本题难度:简单
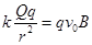
4、选择题 空间存在一个匀强磁场B,其方向垂直纸面向里,还有一点电荷Q的电场,如图所示,一带电粒子-q以初速度v0从图示位置垂直于电场、磁场入射,初位置到点电荷+Q的距离为r,则粒子在电、磁场中的运动轨迹不可能为? ( )
A.以点电荷+Q为圆心,以r为半径,在纸平面内的圆周
B.初阶段在纸面内向右偏的曲线
C.初阶段在纸面内向左偏的曲线
D.沿初速度v0方向的直线
参考答案:D
本题解析:对带电粒子进行受力分析可知,电场力指向圆心,而洛仑兹力沿半径向外,若此时
,则粒子向左偏转,C有可能;若
则粒子向右偏转,B有可能;若速度恰好满足:
,这时粒子恰好绕圆心+Q做匀速圆周运动,A有可能,若此时
,则向上运动,但只要向上一动,就会到+Q距离增加,就会出现
,粒子向右偏转,因此D不可能
本题难度:一般
5、选择题 有a、b、c、d四个小磁针,分别放置在通电螺线管的附近和内部,如图所示。其中哪一个小磁针的指向是正确的
[? ]
A.a
B.b
C.c
D.d
参考答案:D
本题解析:
本题难度:简单