时间:2018-10-01 01:02:52
1、计算题 (20分)
一种电磁缓冲装置,能够产生连续变化的电磁斥力,有效缓冲车辆间的速度差,避免车辆间发生碰撞和追尾事故。下图虚线框内为某种电磁缓冲车的结构示意图,在缓冲车的底部还安装有电磁铁(图中未画出),能产生垂直于导轨平面的匀强磁场,磁场的磁感应强度为B,在缓冲车的PQ、MN导轨内有一个由高强度材料制成的缓冲滑块K,滑块K可以在导轨上无摩擦地滑动。在滑块K上绕有闭合矩形线圈abcd,线圈的总电阻为R,匝数为n,ab的连线长为L,缓冲车在光滑水平面上运动。
(1)如果缓冲车以速度v0与障碍物碰撞后滑块K立即停下,求缓冲车厢速度减半时滑块K上线圈内的感应电流大小和方向;
(2)如果缓冲车以速度v0与障碍物碰撞后滑块K立即停下,求缓冲车厢从碰撞到停下过程中通过的位移(设缓冲车厢与滑块K始终不相撞);
(3)设缓冲车厢质量为m1 ,滑块K质量为m2,如果缓冲车以速度v匀速运动时.在它前进的方向上有一个质量为m3的静止物体C,滑块K与物体C相撞后粘在一起。碰撞时间极短。设m1 = m2 = m3 = m, cd边进入磁场之前,缓冲车(包括滑块K)与物体C达到相同的速度,求相互作用的整个过程中线圈abcd产生的焦耳热。(物体C与水平面间摩擦不计)
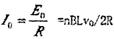
参考答案:(1)
(2)
(3)
本题解析:(1)由右手定则判断出感应电流的方却是abcda(或逆时针)
缓冲车以速度v0/2碰撞障碍物后滑块K静止,滑块相对磁场的速度大小为v0/2
线圈中产生的感应电动势
线圈中感应电流
(2)设此过程中缓冲车通过位移为d,经过时间为t,线圈通过的平均电流为i,平均电动势为E,对缓冲车厢由动量定理
对线圈由闭合电路欧姆定律

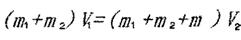
(3)设K、C碰撞后共同运动的速度为v1,由动量守恒定律
设缓冲车与物体C共同运动的速度为v2
由动量守恒定律?
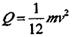
设线圈abcd产生的焦耳热为Q,依据能量守恒
解得
本题难度:一般
2、选择题 关于磁场说法正确的是(?)
A.地理的北极就是地磁场的北极
B.安培发现了电流的磁效应
C.磁场是客观存在的,但是磁感线是人们假想出来的
D.某点磁场的方向与小磁针静止时S极的指向相同
参考答案:C
本题解析:地理的北极在地磁的南极附近,A错;奥斯特发现了电流的磁效应,B错;磁场是客观存在的,但是磁感线是人们假想出来的,C对;某点磁场的方向与小磁针静止时N极的指向相同,D错;
点评:对物理常识问题要能够记忆和理解,对物理史实要注意积累,对与地磁场的分布能够建立立体的模型,磁场的方向是认为规定的,要牢记
本题难度:简单
3、选择题 如图所示,两根相互平行的长直导线过纸面上的M、N两点,且与纸面垂直,导线中通有大小相等、方向相反的电流。a、O、b在M、N的连线上,O为MN的中点。c、d位于MN的中垂线上,且a、b、c、d到O点的距离均相等。关于以上几点处的磁场,下列说法正确的是
A.O点处的磁感应强度为零
B.a、c两点处的磁感应强度的方向不同
C.c、d两点处的磁感应强度大小相等,方向相反
D.a、b两点处的磁感应强度大小相等,方向相同
参考答案:D
本题解析:根据右手定则得出两导线的磁场分布规律,然后将两磁场矢量相加分析,跟据右手螺旋定则可得M在O点的磁场方向垂直向下,N导线在O点处的磁场方向垂直向下,所以O点处的磁场方向垂直向下,不为零,A错误;根据右手螺旋定则可得M在a点处的磁场方向垂直向下,N点在a点处的磁场垂直向下,即a点处的磁场方向垂直向下,同理可得b点处的磁场方向垂直向下,根据对称可得ab两点的磁场感应强度大小相等,D正确;根据右手螺旋定则,可得两导线在c点处的和磁场方向竖直向下,在d点处的和磁场方向竖直向下,根据对称可得,两点的大小相等,所以C错误;综合BC可得ac两点的磁场方向相同,B错误;
本题难度:一般
4、选择题 把磁铁靠近铁棒,铁棒会被磁化,这是由于( )
A.铁棒两端出现电荷
B.铁棒受到磁铁的吸引力
C.铁棒内的磁畴取向杂乱无章造成的
D.铁棒内的磁畴取向大致相同造成的
参考答案:D
本题解析:
本题难度:简单
5、选择题 著名物理学家费曼曾设计过这样一个实验装置:一块绝缘薄圆盘可绕其中心的光滑轴自由转动,在圆盘的中部有一个圆形线圈,圆盘的四周固定着一圈带电的金属小球,如图所示.实验开始时线圈中通有图示方向的大小不变的电流I.对有关实验现象,下列叙述正确的是( )
A.若金属小球带正电且线圈中电流突然增大,则圆盘转动方向与电流流向相同
B.若金属小球带正电且线圈中电流突然增大,则圆盘转动方向与电流流向相反
C.若金属小球带负电且线圈中电流突然减小,则圆盘转动方向与电流流向相同
D.若金属小球带负电且线圈中电流突然减小,则圆盘转动方向与电流流向相反
参考答案:BD
本题解析:线圈中电流突然增大,根据楞次定律,外围会产生与原电流方向相反的电场,若金属小球带正电,则圆盘转动方向与电场方向相同,即与电流流向相反,故A错误B正确
线圈中电流突然减小,,根据楞次定律,外围会产生与原电流方向相同的电场,若金属小球带负电,则圆盘转动方向与电场方向相反,即与电流流向相反,故C错误D正确
故选BD
本题难度:简单