时间:2018-03-18 09:29:22
1、选择题 汽车以
的速度做匀速直线运动,刹车后的加速度大小为
,那么开始刹车后
与开始刹车后
汽车通过的位移之比为(?)
A.1:1
B.3:1
C.3:4
D.4:3
参考答案:C
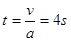
本题解析:汽车作匀减速直线运动,停止时间为:
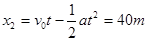
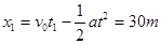
,显然刹车后2s汽车还在运动,刹车后6s,汽车已经停止,刹车后2s的位移为:
,
刹车后6s的位移为:
,
所以刹车后2s与刹车后6s汽车通过的位移之比为3:4
故选C
点评:处理汽车减速运动问题时,不能一味的带公式求解,首先要判断速度是否已经减小到零的时间,然后跟题中给出的时间对比
本题难度:简单
2、简答题 汽车由静止开始做匀加速直线运动,经过4s钟速度增加到8m/s,接着做匀速运动10s后改做匀减速直线运动再经8s恰好停止运动.求:
(1)汽车的总位移;
(2)若保持车匀加速运动的加速度不变,匀减速运动的加速度也不变,完成上述位移又恰好停止的最短时间是多少?运动中最大速度是多少?
参考答案:(1)汽车匀加速运动的位移x1=v2t1=4×4m=16m,
匀速运动的位移x2=vt2=8×10m=80m.
匀减速运动的位移x3=v2t3=4×8m=32m.
则汽车的总位移x=x1+x2+x3=128m.
(2)设运动过程中最大速度为vm.
匀加速运动的加速度a1=84m/s2=2m/s2,匀减速运动的加速度大小为a2=88=1m/s2.
则vm2t1+vm2t2=128m
vm=a1t1
vm=a2t2
解得vm=13m/s t1=6.5s t2=13s
t=t1+t2=19.5s
答:(1)汽车的总位移为128m;
(2)完成上述位移又恰好停止的最短时间是19.5s;运动中最大速度是13m/s.
本题解析:
本题难度:一般
3、选择题 如图所示为一物体做直线运动的v-t图象,根据图象做出的以下判断中,正确的是( )
A.物体始终沿正方向运动
B.物体先沿负方向运动,在t=2?s后开始沿正方向运动
C.在t=2?s前物体位于出发点左侧,在t=2?s后位于出发点右侧
D.在0-4s内?t=2?s时,物体距出发点最远
参考答案:A、B、速度是矢量,速度的正负表示物体运动的方向,由于0~2s内物体的速度v<0,故物体沿负方向运动,而2~4s内物体的速度v>0,表示物体沿正方向运动.故A错误,B正确.
C、速度图象与坐标轴围成的“面积”大小等于物体通过的位移,则t=2s时,物体位于出发点负方向上距离出发点的位移为x=12×20×2=-20m.t=2s后物体沿正方向运动,在t=4s时物体的位移x=0,即物体回到出发点,所以在t=2 s前物体位于出发点左侧,在t=2 s后仍位于出发点左侧.在t=2s时,物体距出发点最远.故C错误,D正确.
故选BD.
本题解析:
本题难度:一般
4、填空题 作匀加速直线运动的物体,先后经过A、B两点时,速度分别为v和7v,则通过A、B中间时刻的速度是______,如果物体通过A、B两点所需时间为T,前0.5T时间通过位移是S1,后0.5T时间通过位移是S2,则S2-Sl为______.
参考答案:根据匀变速直线运动的规律可知:中间时刻的瞬时速度等于全程的平均速度,即AB中间时刻的速度
vt2=v0+v2=v+7v2=4v
物体做匀加速直线运动,前半段时间内的平均速度.v1=v0+vt22,位移S1=.v1×T2=5vT4
后半段时间内的平均速度.v2=vt2+v2,位移S2=.v2×T2=11vT4
∴S2-S1=3vT2
故答案为:4v,32vT
本题解析:
本题难度:一般
5、选择题 甲、乙两位同学多次进行百米赛跑,每次甲都比乙提前10 m到达终点.假若让甲远离起跑点10 m,乙仍在起跑点起跑,则结果将会(忽略加速过程,认为运动员整个过程速度不变)(?)
A.甲先到达终点
B.两人同时到达终点
C.乙先到达终点
D.不能确定
参考答案:A
本题解析:动员先由静止做加速运动,当达到最大速度后保持匀速前进直到冲过终点线,每次甲都比乙提前10m到达终点,说明现在甲的速度大于乙的速度,现让甲远离起跑 点10m,乙仍在起跑点同时起跑,在乙跑完全程的时间内是个定值,因为匀速阶段甲物体速度大于乙的速度,所以在这个时间内甲的位移会大于110m;故甲先 到达,故A正确.
故选:A
点评:理解百米赛跑过程,运动员先由静止做加速运动,当达到最大速度后保持匀速前进直到冲过终点线.
本题难度:一般