时间:2017-11-10 07:51:12
1、计算题 如图所示,矩形匀强磁场区域的长为L,宽为L/2,磁感应强度为B,质量为m,电量为e的电子沿着矩形磁场的上方边界射入磁场,欲使该电子由下方边界穿出磁场,已知sin37°=0.60,cos37°=0.80,求:
(1)电子速率v的取值范围?
(2)电子在磁场中运动时间t的变化范围.
参考答案:(1)
(2) 
本题解析:(1)由几何知识可知,电子要从下方边界穿出磁场,电子的最小轨道半径为:
,
最大轨道半径为:
,
,解得:
,
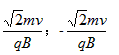
电子在磁场中做匀速圆周运动,洛伦兹力提供向心力,由牛顿第二定律得:
,
解得:
,
,则电子的速率范围是:
;
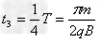
(2)电子在磁场中转过的圆心角:
,
,则:θ2=53°,
电子在磁场中的运动时间:
,
,
电子的运动时间范围:
;
考点:考查了带电粒子在有界磁场中的运动
本题难度:一般
2、计算题 如图所示,x轴上方有一匀强磁场,磁感应强度的方向垂直于纸面向里,大小为B,x轴下方有一匀强电场,电场强度的大小为E,方向与y轴的夹角θ为45°且斜向上方.现有一质量为m电量为q的正离子,以速度v0由y轴上的A点沿y轴正方向射入磁场,该离子在磁场中运动一段时间后从x轴上的C点(图中未画出)进入电场区域,该离子经C点时的速度方向与x轴夹角为45°.不计离子的重力,设磁场区域和电场区域足够大.求:
(1)C点的坐标;
(2)离子从A点出发到第三次穿越x轴时的运动时间;
(3)离子第四次穿越x轴时速度的大小及速度方向与电场方向的夹角.
参考答案:解:(1)磁场中带电粒子在洛仑兹力作用下做圆周运动,故有
,
粒子运动轨迹如图所示,由几何知识知
?
故C点坐标为
?
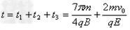
(2)设粒子从A到C的时间为t1,由题意知:
设粒子从进入电场到返回C的时间为t2,其在电场中做匀变速运动,有
?
联立解得
设粒子再次进入磁场后在磁场中运动的时间为t3,由题意知
故而,设粒子从A点到第三次穿越x轴的时间为
(3)粒子从第三次过x轴到第四次过x轴的过程是在电场中做类似平抛的运动,即沿着v0的方向(设为x′轴)做匀速运动,即
沿着E的方向(设为y′轴)做初速为0的匀变速运动,即
,
设离子第四次穿越x轴时速度的大小为v,速度方向与电场方向的夹角为α
由图中几何关系知
,
,
解得
,
本题解析:
本题难度:困难
3、选择题 以竖直向上为y轴正方向的平面直角系xOy,如图所示.在第一、四象限内存在沿x轴负方向的匀强电场E1,在第二、三象限内存在着沿y轴正方向的匀强电场E2和垂直于xOy平面向外的匀强磁场.现有一质量为m、电荷量为q的带正电小球从坐标原点O以初速度v0沿与x轴正方向成45°角的方向射出.已知两电场的电场强度E1=E2=
,磁场的磁感应强度为B,则( )
A.小球离开O点后第一次经过y轴所用的时间
B.小球第二次经过y轴的坐标
C.小球离开O点后第三次经过y轴的坐标
-
D.若小球以速度大小为v=
且方向与初速度方向相反射出,则小球能再次回到O点
参考答案:AD
本题解析:带电粒子在离开O点后,在第一象限受重力和电场力,故有
,解得
,方向与初速度方向相反,故可知小球在第一象限先匀减速运动后匀加速运动,所以可知小球第一次经过y轴所用的时间
,故选项A正确;小球第一次经过y轴后,在第二、三象限内因重力与电场力平衡,故做匀速圆周运动且
,所以第二次经过y轴的坐标为
,故选项B错误;设经过时间t第三次经过y轴,些段时间内小球在一、四象限内做类平抛运动满足
,小球第二次经过y轴与第三次经过y轴的距离为
,故小球第三次经过y轴的坐标为
,故选项C错误;若小球沿与初速度相反方向射出,运动轨迹如下图所示,故有
,与O点间的距离为
,而在电场中的做类平抛运动有
,故可知,小球通过O点,所以选项D正确;
考点:带电粒子在磁场中的运动
本题难度:一般
4、计算题 如图所示,一个带负电的粒子以速度v由坐标原点射入磁感应强度为B的匀强磁场中,速度方向与x轴、y轴均成45°。已知该粒子电量为-q,质量为m,则该粒子通过x轴和y轴的坐标分别是多少? 
参考答案:
本题解析:
本题难度:困难
5、选择题 洛伦兹力演示仪主要是由两个励磁线圈、玻璃泡和电子枪组成,图是演示仪的结构示意图.两个励磁线圈在玻璃泡的区域内产生匀强磁场,磁场的方向与纸面垂直,磁感应强度的大小B=KI,其中I是励磁线圈 的电流,k是比例系数(k=5×10-4T/A).电子枪中灯丝发出的电子初速度为零,经过U=140v的电场加速后,垂直磁场方向进入磁场区域,在玻璃泡内运动时形成的圆形径迹.调节励磁线圈中的电流,当I=2A时,用卡尺测得电子圆形径迹的直径为D=0.08m,忽略电子的重力和电子间的相互作用力,可以判断出( )
A.励磁线圈中的电流方向是顺时针,电子的比荷为
| e me |
| e me |
| e me |
| e me |

参考答案:根据电子所受洛伦兹力的方向结合右手定则判断励磁线圈中电流方向是顺时针方向
电子在加速电场中加速,由动能定理eU=12mv02 ①
电子在匀强磁场中做匀速圆周运动,洛伦兹力充当向心力
eBv0=mv02r②
D=2r ③
解得:em=8UD2B2④
又B=KI=10×10-4T ⑤
代入数据得:em=1.75×1011C/kg ⑥
故选:A.
本题解析:
本题难度:简单