时间:2017-11-10 07:51:12
1、选择题 如图所示,用铝板制成“?”形框,将一质量为m的带电小球用绝缘细线悬挂在框的上方,让整体在垂直于水平方向的匀强磁场中向左以速度v匀速运动,悬线拉力为T,则( )
A.悬线竖直,T=mg
B.悬线竖直,T<mg
C.v选择合适的大小,可使T=0
D.因条件不足,T与mg的大小关系无法确定
参考答案:因为竖直的铝板切割磁感线所以产生感应电动势.U形框的上下板形成一个上板为负下板为正的匀强电场.
小球这时候受到4个力的作用,重力方向向下,绳子的弹力方向向上,洛伦磁力,电场力,如果带的是正电则洛伦磁力方向向下,所受电场力方向向上;
如果带的是负电则洛伦磁力方向向上,所受电场力方向向下,且洛仑磁力等于电场力.f洛=BqV,F电=Eq,E=UL,u=E; 感应电动势=BVL(L为竖直板的长度)联合起来得 F电=BqV,故洛伦磁力等于电场力且方向相反.故拉力等于重力;
故选A.
本题解析:
本题难度:一般
2、计算题 电子(不计重力)自静止开始经M、N板间(两板间电压为u)的电场加速后从A点垂直于磁场边界射入宽度为
L的匀强磁场中,电子离开磁场时的位置P偏离入射方向的距离为L,如图所示(已知电子的质量为m,电量为e)求:
(1)电子在加速电场中加速后获得的速度;
(2)匀强磁场的磁感应强度;
(3)电子在磁场中的运动时间。

参考答案:解:(1)电子在M、N间加速后获得的速度为v,由动能定理得:
mv2-0=eu,解得
?①
(2)电子进入磁场后做匀速圆周运动,设其半径为r,则:evB=mv2/r ②
电子在磁场中的轨迹如图,由几何关系得:(r-L)2+(
L)2=r2 ③ 
由①②③解得
(3) 电子在磁场的周期为T=
由几何关系得
可得电子在磁场中的运动时间
本题解析:
本题难度:一般
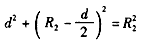
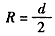
3、计算题 如图(a)所示,为某同学设想的粒子速度选择装置,由水平转轴及两个薄盘N1、N2构成,两盘面平行且与转轴垂直,相距为L,盘上各开一狭缝,两狭缝夹角θ可调(如图(b));右为水平放置的长为d的感光板,板的正上方有一匀强磁场,方向垂直纸面向外,磁感应强度为B一小束速度不同、带正电的粒子沿水平方向射人N1,能通过N2的粒子经O点垂直进入磁场O到感光板的距离为d/2,粒子电荷量为q,质量为m,不计重力
(1)若两狭缝平行且盘静止(如图(c)),某一粒子进入磁场后,竖直向下打在感光板中心点M上,求该粒子在磁场中运动的时间t;
(2)若两狭缝夹角为θ0,盘匀速转动,转动方向如图(b)要使穿过N1、N2的粒子均打到感光板P1P2连线上,试分析盘转动角速度ω的取值范围(设通过N1的所有粒子在盘旋转一圈的时间内都能到达N2)。 

参考答案:解:(1)粒子运动半径为
①
由牛顿第二定律
②
匀速圆周运动周期
③
粒子在磁场中运动时间
④
(2)如图所示,设粒子运动临界半径分别为R1和R2
设粒子临界速度分别为v1和v2,
⑤
⑥
由②⑤⑥式,得
⑦
⑧
若粒子通过两转盘,由题设可知
⑨
联立⑦⑧⑨,得
对应转盘的转速分别为
?⑩
粒子要打在感光板上,需满足条件
本题解析:
本题难度:困难
4、选择题 如图所示,以直角三角形AOC为边界的有界匀强磁场区域,磁感应强度为B,∠A=60°,AO=a。在O点放置一个粒子源,可以向各个方向发射某种带负电粒子,粒子的电量大小为q,质量为m,发射速度大小都为v0,发射方向由图中的角度θ表示.不计粒子间的相互作用及重力,下列说法正确的是(?)
A.若v0=
,则以θ=0°方向射入磁场的粒子在磁场中运动的时间为
B.若v0=
,则以θ=60°飞入的粒子在磁场中运动时间最短
C.若v0=
,则以θ<30°飞入的粒子在磁场中运动的时间都相等
D若v0=
,则在AC边界上只有一半区域有粒子射出
参考答案:D
本题解析:

若v0=
,粒子在磁场中运动轨迹半径R=a/2,如图所示以O为圆心旋转该轨迹圆,当θ=0°方向射入磁场时从AC边射出磁场,运动时间小于
,A错误;θ=60°飞入的粒子弧长不是最短,在磁场中运动时间不是最短,B错误;若v0=
,粒子在磁场中运动轨迹半径R=a,如图所示以O为圆心旋转该轨迹圆,θ<30°飞入的粒子在磁场中运动弧长不相等,则时间不等,C错误。由图形可知,以θ=0°方向射入的粒子,从AC上D点射出磁场,粒子从AD区域离开磁场,由几何关系知,AC=2AD,D正确。
本题难度:一般
5、计算题 如图所示的正方形平面oabc内,存在着垂直于该平面向外的匀强磁场,磁感应强度大小为B,已知正方形边长为L,一质量为m,带电量为+q的粒子(不计重力)在t=0时刻平行于oc边从o点射入磁场中。
(1)若带电粒子从a点射出磁场,求带电粒子在磁场中运动的时间以及初速度的大小;
(2)若磁场的磁感应强度按如图所示的规律变化,规定磁场向外的方向为正方向,磁感应强度的大小为B0,则要使带电粒子能从oa边界射出磁场,磁感应强度B的变化周期T的最小值应为多少?
(3)若所加磁场与第(2)问中相同,则要使粒子从b点沿ab方向射出磁场,满足这一条件的磁感应强度的变化周期T及粒子射入磁场时的速度V0应为多少?(不考虑磁场变化产生的电场)
参考答案:解:(1)若带电粒子从a点射出磁场,则其做圆周运动的半径为r=L/2
所需时间为
设粒子初速度的大小为v0,
(2)若粒子从oa边射出,则其轨迹如图所示
有
,
在磁场变化的半个周期内,粒子在磁场中旋转150°,其运动的时间为
,
故磁场变化的最小周期为
(3)要使粒子从b点沿ab方向射出磁场,其轨迹如图所示
在磁场变化的半个周期中内,粒子在磁场中旋转的角度为2β,
,
所以磁场变化的周期为
r=
(n=2,4,6 …. ),
本题解析:
本题难度:困难