-->

1、填空题  如图所示,小汽车以一定的速度通过圆弧凹形桥的最低点,桥面对汽车的支持力?(选填“大于”、“小于”、或“等于”)汽车受到的重力。汽车在桥面最低点的重力势能?(选填“大于”、“小于”、或“等于”)它在水平路面上时的重力 ">

高考物理知识点总结《匀速圆周运动》考点强化练习(2017年押题版)

时间:2017-11-10 07:39:59

微信搜索关注"91考试网"公众号,领30元,获取事业编教师公务员等考试资料40G

1、填空题  如图所示,小汽车以一定的速度通过圆弧凹形桥的最低点,桥面对汽车的支持力?(选填“大于”、“小于”、或“等于”)汽车受到的重力。汽车在桥面最低点的重力势能?(选填“大于”、“小于”、或“等于”)它在水平路面上时的重力势能。600)makesmallpic(this,600,1800);\' src=\"http://www_php168_com/91files/2016060512/m4a5223nlum.jpg\" style=\"vertical-align:middle;\">


参考答案:大于?小于


本题解析:在汽车到达最低点时,由半径方向的合力提供向心力,所以支持力大于重力,重力势能与高度h有关,可知汽车在桥面最低点的重力势能较小
点评:明确汽车做圆周运动的向心力由半径方向的合力提供,这是解决本题的关键,理解重力势能大小与高度h有关


本题难度:简单



2、计算题  如图水平固定放置的平行金属板M、N,两板间距为d。在两板的中心(即到上、下板距离相等,到板左、右端距离相等)有一悬点O系有一长r=d/4的绝缘细线,线的另一端系有一质量为m、带正电荷的小球,电荷量为q。两板间有一竖直向下的匀强电场,匀强电场大小E=3mg/q。小球在最低点A处于静止。求:
600)makesmallpic(this,600,1800);\' src=\"http://www_php168_com/91files/2016060317/c0snsgkk0n5.png\" style=\"vertical-align:middle;\">
(1)小球静止时细线拉力T大小;
(2)若电场大小保持不变,方向变为竖直向上,要使得小球在竖直平面内绕O点恰好能做完整的圆周运动,在A位置至少给小球多大的初速度v0。
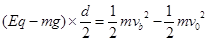
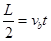
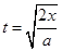
(3)小球恰能绕悬点O在竖直平面内做完整的圆周运动.当小球运动到竖直直径AB的B端时,细线突然断开,小球恰好从平行金属板M的左边缘飞出,求平行金属板的长度L?


参考答案:(1)4mg , (2) 600)makesmallpic(this,600,1800);\' src=\"http://www_php168_com/91files/2016060317/b1hr1nlrojj.png\" style=\"vertical-align:middle;\"> ,  (3)600)makesmallpic(this,600,1800);\' src=\"http://www_php168_com/91files/2016060317/010kdm2ckze.png\" style=\"vertical-align:middle;\">


本题解析:(1)由力的平衡条件有600)makesmallpic(this,600,1800);\' src=\"http://www_php168_com/91files/2016060317/r4gasauxu00.png\" style=\"vertical-align:middle;\">4mg;
(2)由600)makesmallpic(this,600,1800);\' src=\"http://www_php168_com/91files/2016060317/ru4a232yixm.png\" style=\"vertical-align:middle;\">,代入数值有,600)makesmallpic(this,600,1800);\' src=\"http://www_php168_com/91files/2016060317/d0pw5oufy5s.png\" style=\"vertical-align:middle;\">;
(3)小球做圆周运动中拉力不做功,由动能定理有600)makesmallpic(this,600,1800);\' src=\"http://www_php168_com/91files/2016060317/sebznpgomhw.png\" style=\"vertical-align:middle;\">,可得B点小球的速度为600)makesmallpic(this,600,1800);\' src=\"http://www_php168_com/91files/2016060317/qcyuspmw5gn.png\" style=\"vertical-align:middle;\">,细线突然断开后小球做类平抛运动,竖直方向为初速度为零的匀加速运动,由600)makesmallpic(this,600,1800);\' src=\"http://www_php168_com/91files/2016060317/jfeld5qbuqt.png\" style=\"vertical-align:middle;\">,代入数值得600)makesmallpic(this,600,1800);\' src=\"http://www_php168_com/91files/2016060317/1ppirdgb20z.png\" style=\"vertical-align:middle;\">,水平方向有600)makesmallpic(this,600,1800);\' src=\"http://www_php168_com/91files/2016060317/3oicgdytzle.png\" style=\"vertical-align:middle;\">,代入数值有600)makesmallpic(this,600,1800);\' src=\"http://www_php168_com/91files/2016060317/3ujonlsq23x.png\" style=\"vertical-align:middle;\"> 。
考点:本题考查了动能定理、抛体运动的概念


本题难度:困难



3、计算题  如图所示,在光滑水平地面上有一辆质量M为4kg的小车,车面由一段长为L=1.2m的水平板面AB以及与之相连的光滑半圆环连接,其中A600)makesmallpic(this,600,1800);\' src=\"http://www_php168_com/91files/2016060512/ph14qtp4ams.gif\" style=\"vertical-align:middle;\">B段动摩擦因数μ=0.5,圆环半径R=0.1m。一个质量m为2kg的小滑块从跟车面等高的平台以v0滑上小车,则v0满足什么条件时,才能使它运动到环顶时恰好对环顶无压力?600)makesmallpic(this,600,1800);\' src=\"http://www_php168_com/91files/2016060512/tithg05opvh.jpg\" style=\"vertical-align:middle;\">


参考答案:V0=5m/s


本题解析:略


本题难度:一般



4、填空题  半径为600)makesmallpic(this,600,1800);\' src=\"http://www_php168_com/91files/2016060512/arvzxwm0yco.png\" style=\"vertical-align:middle;\">和600)makesmallpic(this,600,1800);\' src=\"http://www_php168_com/91files/2016060512/wmi2zwa3j1g.png\" style=\"vertical-align:middle;\">的圆柱体靠摩擦传动,已知600)makesmallpic(this,600,1800);\' src=\"http://www_php168_com/91files/2016060512/zxuukdro4em.png\" style=\"vertical-align:middle;\">,600)makesmallpic(this,600,1800);\' src=\"http://www_php168_com/91files/2016060512/vjpqrvofkr0.png\" style=\"vertical-align:middle;\">分别在小圆柱与大圆柱的边缘上,600)makesmallpic(this,600,1800);\' src=\"http://www_php168_com/91files/2016060512/jrgqzgpvl44.png\" style=\"vertical-align:middle;\">是圆柱体上的一点,600)makesmallpic(this,600,1800);\' src=\"http://www_php168_com/91files/2016060512/zpuuhvrkioj.png\" style=\"vertical-align:middle;\">,如图所示,若两圆柱之间没有打滑现象,则A,B,C三者的向心加速度之比 aA∶aB∶aC? =?
600)makesmallpic(this,600,1800);\' src=\"http://www_php168_com/91files/2016060512/tpogxm45zvx.png\" style=\"vertical-align:middle;\">


参考答案:4 : 2 : 1


本题解析:传动过程中,两圆柱之间没有打滑现象,说明A、B两点的线速度相等,即vA=vB,由600)makesmallpic(this,600,1800);\' src=\"http://www_php168_com/91files/2016060512/vvcp0kbaxpi.png\" style=\"vertical-align:middle;\">可知向心加速度之比为2:1,B、C绕同一个轴转动,角速度相等,半径之比为2:1,则向心加速度之比为600)makesmallpic(this,600,1800);\' src=\"http://www_php168_com/91files/2016060512/xb45cqch41e.png\" style=\"vertical-align:middle;\">,由此可知aA∶aB∶aC? =4 : 2 : 1
点评:解决本题的关键知道靠传送带传动轮子边缘上的点具有相同的线速度,共轴转动的点,具有相同的角速度


本题难度:简单



5、选择题  质量为m的物体靠在圆筒内壁上,圆筒绕其竖直轴线转动,当角速度达到一定大小时,物体相对于圆筒静止,随圆筒做圆周运动。转动中物体始终相对于圆筒静止,物体受圆筒的静摩擦力为f,受圆筒的弹力为F,则(?)
600)makesmallpic(this,600,1800);\' src=\"http://www_php168_com/91files/2016060512/d3lugv5msh1.png\" style=\"vertical-align:middle;\">
A.圆筒匀速转动和加速转动时都有f与mg大小相等
B.圆筒加速转动时f>mg
C.圆筒匀速转动时F大小不变,加速转动时F逐渐变大
D.圆筒匀速转动和加速转动时f对物体都不做功


参考答案:BC


本题解析:当物体与圆筒相对静止时物体竖直方向受力平衡,重力与摩擦力相等,由弹力提供向心力,A错;当圆筒加速转动时,在水平方向有静摩擦力,所以合静摩擦力大于重力mg,B对;由于F提供向心力所以圆筒匀速转动时F大小不变,随着速度的增大600)makesmallpic(this,600,1800);\' src=\"http://www_php168_com/91files/2016060512/x1z5344ddbd.png\" style=\"vertical-align:middle;\">也逐渐增大,C对;D错;


本题难度:一般




微信搜索关注"91考试网"公众号,领30元,获取公务员事业编教师考试资料40G
【省市县地区导航】【考试题库导航】
 ★ 高考省级导航 ★ 
全国 A安徽 B北京 C重庆 F福建 G广东 广西 甘肃 贵州 H河南 河北 湖南 湖北 黑龙江 海南 J江苏 江西 吉林 L辽宁 N内蒙古 宁夏 Q青海 S山东 山西 陕西 四川 上海 T天津 X新疆 西藏 Y云南 Z浙江
 ★ 高考信息汇总 ★ 
 ★ 高考历年真题 ★ 
 ★ 高考历年真题 ★ 
 ★ 高考题库 ★ 
 ★ 高考题库 ★ 

电脑版  |  手机版  |  返回顶部