时间:2017-09-26 11:39:25
1、选择题 如图所示,水平传送带以速度v1匀速运动,小物体P、Q由通过定滑轮且不可伸长的轻绳相连,t = 0时刻P在传送带左端具有速度v2,已知v1>v2,P与定滑轮间的绳水平。不计定滑轮质量,绳足够长。直到物体P从传送带右侧离开。以下判断正确的是( )
A.物体P一定先加速后匀速
B.物体P可能先加速后匀速
C.物体Q的机械能一直增加
D.物体Q一直处于超重状态
参考答案:BC
本题解析:由于v1>v2,且物体P向右运动,故P受到的摩擦力可能大于Q的重力,故P可能先加速后匀速,也有可能一直加速运动,故A错误,B正确;不论A中那种情况,绳子对物体Q的拉力都做正功,故Q的机械能增加,故C正确;当物体先加速后匀速时,物体不可能一直处于超重,故D错误。
考点:匀变速直线运动的位移与时间的关系、牛顿第二定律
点评:考查了物体在传送带上的运动过程,首先要分清过程,可能是一直加速,也可能是先加速后匀速运动。
本题难度:一般
2、选择题 雨滴在下降过程中,由于水汽的凝聚,雨滴质量将逐渐增大,同时由于速度逐渐增大,空气阻力也将越来越大,最后雨滴将以某一收尾速度匀速下降,在此过程中( )
A.由于空气阻力增大,雨滴下落的加速度逐渐增大
B.由于雨滴质量逐渐增大,下落的加速度逐渐减小
C.雨滴所受到的重力逐渐增大,但重力产生的加速度不变
D.雨滴所受到的重力逐渐增大,重力产生的加速度也逐渐增大
参考答案:C
本题解析:由题意知雨滴做加速度逐渐减小的加速运动,A错;雨滴质量增加,重力增加,但重力产生的加速度不变,B、D错,C对;
考点:重力加速度。
本题难度:一般
3、填空题 (6分)如图所示,水平桌面上有一小车,装有砂的砂桶通过细绳给小车施加一水平拉力,小车从静止开始做直线运动。保持小车的质量M不变,第一次实验中小车在质量为m1的砂和砂桶带动下由静止前进了一段距离s;第二次实验中小车在质量为m2的砂和砂桶带动下由静止前进了相同的距离s,其中m1<m2<M。两次实验中,绳对小车的拉力分别为T1和T2,小车、砂和砂桶系统的机械能变化量分别为ΔE1和ΔE2,若摩擦阻力的大小保持不变,不计绳、滑轮的质量及空气阻力,则ΔE1/ΔE2= ,T1 /T2= 。 
参考答案: 1 m1(M+m2)/m2(M+m1)
本题解析:根据机械能的变化量为除重力以外的力做的功,两次实验对系统做功的(除重力以外的力)都是小车受到的摩擦力,摩擦力不变,位移相同,所以摩擦力做功相同,机械能的变化量相同,故ΔE1/ΔE2=1;根据牛顿第二定律对砂桶:
,小车
,当砂桶质量为m2时,同理砂桶:
,小车
,联立解得:
.
考点:本题考查机械能、牛顿第二定律
本题难度:困难
4、计算题 钓鱼岛是我国固有领土,决不允许别国侵占。近期,我人民海军为此进行登陆演练,假设一艘战舰因吨位大吃水太深,只能停锚在离海岸登陆点较远处。登陆队员需要从较高的军舰甲板上,利用绳索下滑到登陆快艇上再行登陆,若绳索两端固定好后,与竖直方向的夹角θ=45°。队员下滑时改变特殊手套(握力足够大时才有摩擦力)在绳索上的握力大小以调整下滑加速度大小,恰好保证了全程加速度大小相等,假定做先匀加速运动后立即匀减速运动,登上快艇时速度为刚好零。为了安全,绳索上只能容一人滑动,每人按要求丢下随身携带的石头使其自由下落,第1名队员下滑时丢下自己的石头,从第二名队员开始听到前一队员丢下石头的击水声就丢下自己的石头,当听到自己石头的击水声时立即下滑,同时再丢第二块石头(忽略声音传播时间),这样恰好保证了绳上只有一人下滑,10名队员在40s内恰好全部登上快艇。重力加速度g=10m/s2,求:
(1)军舰甲板与快艇的高度差H。
(2)下滑时加速度大小a。
(3)某队员连同装备在内质量为m=200kg,在加速下滑过程中他对绳的作用力大小F。
参考答案:(1)20m. (2)
(3)
本题解析:(1)每位队员在绳索上运动的时间等于:t=
而每位队员在绳索上的运动时间等于两块石头下落的时间,则每块石头下落的时间为t1=2s,则
(2)绳索长度
根据
可知:
(3)重力沿斜面产生的分加速度
则队员在加速下降过程中无摩擦力,则他对绳索的作用力等于重力的另一个分力的大小,则:
考点:匀变速直线运动规律的应用;力的平衡.
本题难度:困难
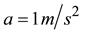
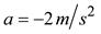
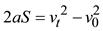
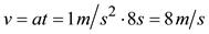
5、计算题 如图所示,一质量为5kg的滑块在F=15N的水平拉力作用下,由静止开始做匀加速直线运动,若滑块与水平地面间的动摩擦因数为0.2(取g=10m/s2),求:
(1)滑块运动的加速度多大?
(2)如果力F作用经8s后撤去,则滑块在撤去F后还能滑行多远?
参考答案:
,
本题解析:(1)关键受力分析摩擦力的确定方向
滑块受到水平向左的滑动摩擦力
,
根据牛顿第二定律
有,
(2)力
作用
后,物体速度为
,此时合外力为
,则其加速度为
,设物体继续滑行的距离为
,则
,解得
本题难度:一般