时间:2017-09-26 11:36:27
1、计算题  中子星是恒星演化过程的一种结果,它的密度很大。有一颗中子星,现观测到它的自转周期为
,问该中子星的最小密度应该是多少才能维持该星的稳定,不会因为自转而瓦解。计算时星体可视为均匀球体。
参考答案:解:设中子星的密度为ρ,质量为M,半径为R,
自转角速度为
,
位于赤道处的小物块质量为m,
则有
,
又因为
.
M=
由以上各式得
,
代入数据解得ρ=1.27×1014 kg/m3
本题解析:
本题难度:一般
2、计算题  在一次测定引力常量的实验中,已知一个质量为0.8kg的球,以1.3×10-10N的力吸引另一个质量为4.0×10-3kg的球,这两个球相距0.04m,求引力常量G。地球表面的重力加速度为9.8m/s2,地球的半径为6400km,求地球的质量。
参考答案:
?解:由万有引力定律F=Gm1m2/r2 ①
mg=GMm/r2地 ② 
本题解析:
本题难度:一般
3、选择题  我国探月的“嫦娥工程”已启动,在不久的将来,我国宇航员将登上月球。假如宇航员在月球上测得摆长为的单摆做小振幅振动的周期为T,将月球视为密度均匀、半径为r的球体,则月球的密度为 
[? ]




参考答案:B
本题解析:
本题难度:一般
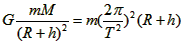
4、计算题  已知引力常量G,地球半径R,月球和地球之间的距离r,同步卫星距地面的高度h,月球绕地球的运转周期T1,地球的自转周期T2,地球表面的重力加速度g,某同学根据以上条件,提出一种估算地球质量M的方法:
同步卫星绕地心做圆周运动,由
得
。
(1)请判断上面的结果是否正确,并说明理由,如不正确,请给出正确的解法和结果;
(2)请根据已知条件再提出两种估算地球质量的方法并解得结果(用上面所给的已知量表示)。
参考答案:解:(1)上面结果是错误的,地球的半径R在计算过程中不能忽略,
正确解法和结果:
得
 。
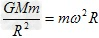
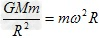
(2)方法一:月球绕地球做圆周运动,
由
,
得
。
方法二:在地面重力近似等于万有引力由
得
 。
本题解析:
本题难度:一般
5、选择题  已知地球绕太阳公转周期为T,公转半径为r,万有引力常量为G,则由此可求出( ? )
A.地球的质量 
B.太阳的质量 
C.地球的密度 
D.太阳的密度
参考答案:B
本题解析:
本题难度:简单