时间:2017-09-26 11:12:37
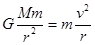
1、选择题 2012年6月18日14时许,在完成捕获、缓冲、接近和锁紧程序后,载着景海鹏,刘旺和刘洋三名宇航员的“神舟九号”与“天宫一号”紧紧相牵,中国首次载人交会对接取得成功.假如“神舟九号”与“天宫一号”对接前所处的轨道如图甲所示,图乙是它们在轨道上即将对接时的模拟图.当它们处于图甲所示的轨道运行时,下列说 法正确的是( )
A.“神舟九号”的加速度比“天宫一号”的大
B.“神舟九号”的运行速度比“天宫一号”的小
C.“神舟九号”的运行周期比同步通信卫星的长
D.“神舟九号”通过加速后变轨可实现与“天宫一号”对接
参考答案:AB、根据:GMmr2=ma=mv2r=m4π2T2r
得:a=GMr2,v=
本题解析:
本题难度:简单
2、选择题 宇宙飞船以周期为T绕地球作圆周运动时,由于地球遮挡阳光,会经历“日全食”过程,如图所示.已知地球的半径为R,地球质量为M,引力常量为G,地球自转周期为T0,太阳光可看作平行光,宇航员在A点测出地球的张角为α,则( )
A.飞船绕地球运动的线速度为
| 2πR Tsin(
|
| T T0 |
| 2πR Tsin(
|
D.飞船每次“日全食”过程的时间为
![]() 参考答案:A、飞船绕地球匀速圆周运动 本题解析: 本题难度:简单 3、选择题 a、b两颗人造地球卫星分别在如图所示的两个不同的轨道上运行,下列说法中正确的是( ) |

参考答案:A、卫星与地球间的万有引力提供向心力GmMr2=mv2r可得v=
本题解析:
本题难度:一般
4、选择题 美国国家航空地球物理学家通过计算可知,因为日本的地震导致地球的自转快了1.6微秒(一秒的百万分之一)。通过理论分析下列说法正确的是(?)
A.地球赤道上物体的重力会略变小
B.地球赤道上物体的重力会略变大
C.同步卫星的高度要略调高点
D.同步卫星的高度要略调低点
参考答案:AD
本题解析:根据
,当T减小,则a增大,而重力等于
,A正确、B错误;由
,周期变小则半径减小,故同步卫星的高度要略调低点,C错误、D正确。
本题难度:简单
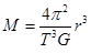
5、选择题 一宇宙飞船在一个星球表面附近做匀速圆周运动,宇航员要估测星球的密度,只需要测定飞船的(?)
A.环绕半径
B.环绕速度
C.环绕周期
D.环绕角速度
参考答案:C
本题解析:由公式
可得
,因为
,所以只要测量飞船的环绕周期即可,知道环绕半径,环绕速度,环绕角速度都无法求出消去半径,所以C正确,
点评:做此类问题关键是对公式的熟练,
,
,
本题难度:简单