时间:2017-09-26 11:05:50
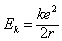
1、计算题 氢原子中电子的运动可以看做是绕固定的氢原子核做匀速圆周运动,已知电子的电荷量为e,质量为m。如果把电子在距离氢原子核为无限远的位置时的电势作为零,则电子在半径为r的轨道上运动时,原子的能量为E=Ek+Ep=
,其中k为静电力常量。求氢原子中电子在距氢原子核为r处的电势能。
参考答案:解:电子绕原子核做匀速圆周运动,静电引力提供向心力,由牛顿第二定律可得
电子的动能Ek=
以上两式联立得
根据原子的能量E=Ek+
可得:
氢原子中电子在距核为r处的电势能为
本题解析:
本题难度:一般
2、选择题 如图所示为α粒子散射实验中α粒子穿过某一金原子核附近时的示意图,A、B、C三点分别位于两个等势面上,则以下说法正确的是 
[? ]
A.α粒子在A处的速度比在B处速度小
B.α粒子在B处的速度最大
C.α粒子在A、C处的速度大小相等
D.α粒子在B处速度比在C处速度小
参考答案:CD
本题解析:
本题难度:一般
3、选择题 (5分)关于原子结构及原子核的知识,下列判断正确的是 。(填正确答案标号。选对1个得2分,选对2个得4分,选对3个得5分。每选错1个扣3分,最低得分为0分)
A.每一种原子都有自己的特征谱线
B.处于n=3的一个氢原子回到基态时一定会辐射三种频率的光子
C.α射线的穿透能力比γ射线弱
D.β衰变中的电子来自原子的内层电子
E.放射性元素的半衰期与压力、温度无关
参考答案:ACE
本题解析:每一种原子发生跃迁时只能发出反映自身特征的一定频率的谱线,A正确;大量处于n=3能级的氢原子回到基态时可能会辐射三种频率的光子,但一个氢原子不一定发生怎样的跃迁,B错误;α射线是原子核发生衰变放出的三种射线中穿透能力最弱的,C正确;β衰变中的电子是核中中子衰变成一个质子和一个电子,D错误;放射性元素的半衰期只与原子核本身有关,与压力、温度无关,E正确。故选ACE。
考点:衰变、氢原子光谱
本题难度:一般
4、简答题 试计算氢原子光谱中莱曼系的最长波和最短波的波长各是多少?
参考答案:1.22×10-7 m? 9.66×10-6 m
本题解析:根据莱曼系波长倒数公式:
=R(
-
),n=2,3,4…
可得λ=
当n=2时波长最短,其值为
λ=
=
?m=1.22×10-7 m
当n=∞时,波长最长,其值为
λ=
=
=
?m=9.66×10-6 m.
本题难度:简单
5、选择题 在卢瑟福进行的α粒子散射实验中,少数α粒子发生大角度偏转的原因是( )
A.正电荷在原子中是均匀分布的
B.原子的正电荷以及绝大部分质量都集中在一个很小的核上
C.原子中存在带负电的电子
D.原子核中有中子存在
参考答案:α粒子和电子之间有相互作用力,它们接近时就有库仑引力作用,但由于电子的质量只有α粒子质量的1/7300,粒子与电子碰撞就像一颗子弹与一个灰尘碰撞一样,α粒子质量大,其运动方向几乎不改变.α粒子散射实验中,有少数α粒子发生大角度偏转说明三点:一是原子内有一质量很大的粒子存在;二是这一粒子带有较大的正电荷;三是这一粒子的体积很小,B正确.
故选B
本题解析:
本题难度:一般