时间:2017-09-26 10:48:17
1、选择题 如图7所示,在一矩形区域内,不加磁场时,不计重力的带电粒子以某初速度垂直左边界射入,穿过此区域的时间为t.若加上磁感应强度为B、垂直纸面向外的匀强磁场,带电粒子仍以原来的初速度入射,粒子飞出磁场时偏离原方向60°,利用以上数据可求出下列物理量中的( )
A.带电粒子的比荷
B.带电粒子在磁场中运动的周期?
C.带电粒子的初速度
D.带电粒子在磁场中运动的半径
2、选择题 在下图所示的四幅图中,正确标明了带正电的粒子在磁场B中以速度v运动时所受洛伦兹力F方向的是(? )
3、简答题 用细绳将一根长为50 cm、质量为10 g的直导线MN平挂在磁感应强度为1.0 T的磁场中,导线中通有电流I,电流的方向和磁场垂直,如图所示.要使细绳的张力为零,则导线中的电流大小是多少?方向如何?
4、选择题 带电量为+q的粒子,在匀强磁场中运动,下面说法正确的是( )
A.只要速度大小相同,所受的洛伦兹力就相同
B.如果把+q改为-q,且速度反向大小不变,则所受的洛伦兹力大小、方向均不变
C.只要带电粒子在磁场中运动,就一定受洛伦兹力作用
D.带电粒子受洛伦兹力小,则该磁场的磁感应强度小
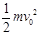
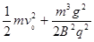
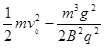
5、选择题 在如图所示匀强磁场中,一个质量为m电量为+q的圆环套在一根固定的绝缘水平长直杆上,环与杆的动摩擦因数为μ。现给环一个向右的初速度v0,则环在运动过程中克服摩擦所做的功大小可能为
A.
B.0
C.
D.