-->

1、选择题  2012年4月30日,西昌卫星发射中心发射了中圆轨道卫星,其绕地球运行的周期约为13小时.则该卫星与另一颗质量相同的地球同步轨道卫星相比,有(  )
A.轨道半径较大
B.向心力相等
C.动能较大
D.角速度较小

高考物理知识点《近地卫星和同步卫星》高频考点强化练习(2017年最新版)

时间:2017-09-25 08:49:39

微信搜索关注"91考试网"公众号,领30元,获取事业编教师公务员等考试资料40G

1、选择题  2012年4月30日,西昌卫星发射中心发射了中圆轨道卫星,其绕地球运行的周期约为13小时.则该卫星与另一颗质量相同的地球同步轨道卫星相比,有(  )
A.轨道半径较大
B.向心力相等
C.动能较大
D.角速度较小


参考答案:A、地球同步轨道卫星周期为24h,中圆轨道卫星其绕地球运行的周期约为13小时,根据开普勒第三定律R3T2=k可知,中圆轨道卫星的轨道半径较小.故A错误.
B、卫星绕地球做匀速圆周运动,由地球的万有引力提供向心力,根据万有引力定律F=GMmr2知,中圆轨道卫星的轨道半径较小,则向心力较大.故B错误.
C、由GMmr2=mv2r,动能Ek=12mv2得,卫星的动能Ek=GMm2r.地球质量M、卫星质量m相同,则卫星的动能与轨道半径成反比,故中圆轨道卫星的动能较大.故C正确.
D、由GMmr2=mω2r,得角速度ω=


本题解析:


本题难度:简单



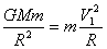
2、简答题  设人造地球卫星绕地球做匀速圆周运动.根据万有引力定律、牛顿运动定律及周期的概念,推导和论述人造地球卫星随着轨道半径的增加,它的线速度变小,周期变大.


参考答案:卫星环绕地球做匀速圆周运动,设卫星的质量为m,G为万有引力恒量,M是地球质量,轨道半径为r,受到地球的万有引力为F,则?
F=GMmr2------①
设v是卫星环绕地球做匀速圆周运动的线速度,T是运动周期,据牛顿第二定律得?
F=mv2r------②?
由①②得v=


本题解析:


本题难度:一般



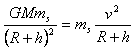
3、选择题  不久前欧洲天文学家在太阳系之外发现了一颗可能适合人类居住的行星,命名为“格利斯581c”。该行星的质量是地球的5倍,直径是地球的1.5倍。设想在该行星表面附近绕行星沿圆轨道运行的人造卫星的动能为Ek1,在地球表面附近绕地球沿圆轨道运行的相同质量的人造卫星的动能为Ek2,则600)makesmallpic(this,600,1800);\' style=\"VERTICAL-ALIGN: middle\" src=\"http://www_php168_com/91files/2016060508/jxsrbwdr15s.gif\" border=\"0\">为

[? ]


A.0.13
B.0.3
C.3.33
D.7.5


参考答案:C


本题解析:


本题难度:一般



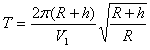
4、计算题  航天员乘坐航天飞机去修理位于离地球表面h的圆形轨道上的哈勃太空望远镜片,航天飞机s进入与望远镜H相同的轨道并关闭助推火箭,而望远镜则在航天飞机前方数千米处,如图所示。设G为引力常数,M为地球质量,R为地球半径,V1为第一宇宙速度。
(1)在如图所示的航天飞机s内,质量m=70 kg的航天员的视重是多少?
(2)计算航天飞机在轨道上的速率和周期;
(3)航天飞机必须先进入半径较小的轨道,才有较大的速率追上望远镜。试判断航天飞机要进入较低轨道时应在原轨道上加速还是减速?说明理由。
600)makesmallpic(this,600,1800);\' style=\"VERTICAL-ALIGN: middle\" border=\"0\" src=\"http://www_php168_com/91files/2016060508/mdlb4zvmrgk.gif\">


参考答案:解:(1)由于完全失重,视重为0N
(2)对近地卫星有:600)makesmallpic(this,600,1800);\' style=\"VERTICAL-ALIGN: middle\" border=\"0\" src=\"http://www_php168_com/91files/2016060508/f5afkb1lki0.gif\"> ①
对航天飞机有:600)makesmallpic(this,600,1800);\' style=\"VERTICAL-ALIGN: middle\" border=\"0\" src=\"http://www_php168_com/91files/2016060508/3nkt5nbrlpm.gif\"> ②
解方程①、②得:600)makesmallpic(this,600,1800);\' style=\"VERTICAL-ALIGN: middle\" border=\"0\" src=\"http://www_php168_com/91files/2016060508/jwcihoprzo2.gif\">
600)makesmallpic(this,600,1800);\' style=\"VERTICAL-ALIGN: middle\" border=\"0\" src=\"http://www_php168_com/91files/2016060508/eihekoste2r.gif\">,得:600)makesmallpic(this,600,1800);\' style=\"VERTICAL-ALIGN: middle\" border=\"0\" src=\"http://www_php168_com/91files/2016060508/rwa154nfr25.gif\">
(3)减速,当600)makesmallpic(this,600,1800);\' style=\"VERTICAL-ALIGN: middle\" border=\"0\" src=\"http://www_php168_com/91files/2016060508/yfzcl0epgg3.gif\">时做近心运动


本题解析:


本题难度:困难



5、选择题  2006年10月29日0时20分,由中国人自己制造的成本达20亿元人民币的第一颗直播通信卫星“鑫诺二号”在西昌卫星发射中心发射成功,定点于东经92.2度的上空.“鑫诺二号”载有22个大功率转发器,如果正常工作,可同时支持200余套标准清晰度的电视节目,它将给中国带来1000亿元人民币的国际市场和几万人的就业机会,它还承担着“村村通”的使命,即满足中国偏远山区民众能看上电视的愿望,关于“鑫诺二号”通信卫星的说法正确的是(  )
A.它的轨道一定在赤道所在的平面内
B.它可以定点在拉萨和唐古拉山口附近的上空(拉萨和唐古拉山口在东经92.2度附近)
C.它绕地球运转,有可能经过北京的上空
D.它与周期为85分钟的“神州”六号载人飞船相比,“鑫诺二号”的轨道半径小,环绕速度大


参考答案:A、电视通信卫星必须是同步卫星,也就是和地球自转同步的.这样的卫星必须在赤道上,故A正确.
B、“同步卫星”只能在在赤道上空,才能和地球“自转”同步.故B错误.
C、既然同步,就在天上“不动”.运行轨道为位于地球赤道平面上圆形轨道,所以不可能经过北京的上空,故C错误.
D、“神州”六号载人飞船的周期是85分钟,同步卫星的周期是24h,在地球上空高度约“三万六千千米”处,
根据万有引力提供向心力得:GMmr2=m4π2T2r,
GMmr2=mv2r
“鑫诺二号”与神六相比,周期较大,半径较大,速度较小,故D错误.
故选A.


本题解析:


本题难度:简单




微信搜索关注"91考试网"公众号,领30元,获取公务员事业编教师考试资料40G
【省市县地区导航】【考试题库导航】
 ★ 高考省级导航 ★ 
全国 A安徽 B北京 C重庆 F福建 G广东 广西 甘肃 贵州 H河南 河北 湖南 湖北 黑龙江 海南 J江苏 江西 吉林 L辽宁 N内蒙古 宁夏 Q青海 S山东 山西 陕西 四川 上海 T天津 X新疆 西藏 Y云南 Z浙江
 ★ 高考信息汇总 ★ 
 ★ 高考历年真题 ★ 
 ★ 高考历年真题 ★ 
 ★ 高考题库 ★ 
 ★ 高考题库 ★ 

电脑版  |  手机版  |  返回顶部